Wyznaczane wielkości
Wyznaczone całkowite skorygowane wartości przyspieszenia drgań są wykorzystywane przy wyznaczaniu ekspozycji na drgania. Podstawową wielkością służącą do oceny narażenia pracownika na drgania jest dzienna ekspozycja A(8) bazująca na dawce drgań Dcałkowita, która związana jest z reakcją organizmu człowieka działanie drgań.
![]() |
m2/s3 |
(1) |
gdzie:
ai - cząstkowe przyspieszenie drgań, m/s2
ti - czas działania cząstkowego przyspieszenia, s
i - numer kolejnej czynności wykonywanej w narażeniu na drgania,
n - liczba czynności wykonywanych w narażeniu na drgania na stanowisku pracy.
Dawka drgań wyznaczana jest pośrednio podczas obliczania wartości dziennych ekspozycji na drgania A(8).
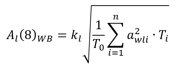
Dzienna ekspozycja na drgania o działaniu ogólnym wyznaczana jest z następującej zależności:
![]() |
m/s2 |
(2) |
gdzie:
awli - skorygowana częstotliwościowo skuteczna wartość przyspieszenia drgań określona
dla przedziału czasu Ti, m/s2
l – kierunek x, lub y lub z
kx = ky = 1,4 dla kierunków x i y; kz = 1 dla kierunku z
T0- czas odniesienia równy 8h (480 min = 28800 s)
i - numer kolejnej czynności wykonywanej w narażeniu na drgania,
n - liczba czynności wykonywanych w narażeniu na drgania na stanowisku pracy.
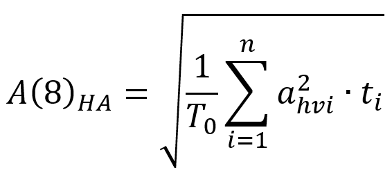
Dzienna ekspozycja na drgania działające przez kończyny górne wyznaczana jest z zależności:
![]() |
m/s2 |
(3) |
gdzie:
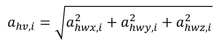
![]() |
m/s2 |
(4) |
ahvi - skorygowana częstotliwościowo skuteczna wartość sumy wektorowej przyspieszenia drgań określona dla przedziału czasu Ti, m/s2
ahwxi ,ahwyi ,ahwzi - skorygowane częstotliwościowo, skuteczne wartości przyspieszenia drgań w kierunkach x, y, z, określone dla przedziału czasu Ti , m/s2
T0 - czas odniesienia równy 8h (480 min = 28800 s).
i - numer kolejnej czynności wykonywanej w narażeniu na drgania,
n - liczba czynności wykonywanych w narażeniu na drgania na stanowisku pracy.
Na podstawie porównania wyznaczonych dziennych ekspozycji z wartościami dopuszczalnymi podanymi w Rozporządzeniu Ministra Rodziny, Pracy i Polityki Społecznej z dnia 12 czerwca 2018 r. w sprawie najwyższych dopuszczalnych stężeń i natężeń czynników szkodliwych dla zdrowia w środowisku pracy (Dz. U. 2018 r. poz. 1286, z późn. zm.) przeprowadzana jest ocena narażenia zdrowia pracownika wynikającego z działania drgań mechanicznych. W tabeli 1 przedstawiono obowiązujące wartości dopuszczalne dziennych ekspozycji na drgania o działaniu ogólnym i przez kończyny górne.
Tabela 1. Wartości dopuszczalne dziennych ekspozycji na drgania o działaniu ogólnym i przez kończyny górne.
Wyznaczana jest krotność przekroczenia wartości dopuszczalnej dla ekspozycji na drgania działające przez kończyny górne:
![]() |
m/s2 |
(5) |
gdzie:
A(8)HA – wyznaczona wartość dziennej ekspozycji na drgania działające przez kończyny górne, m/s2
A(8)HA,dop – dopuszczalna wartość dziennej ekspozycji na drgania działające przez kończyny górne, m/s2,
oraz krotność przekroczenia wartości dopuszczalnej dla ekspozycji na drgania działające w sposób ogólny:
![]() |
m/s2 |
(6) |
gdzie:
A(8)WB – wyznaczona wartość dziennej ekspozycji na drgania ogólne, m/s2
A(8)WB,dop – dopuszczalna wartość dziennej ekspozycji na drgania ogólne, m/s2.
Na podstawie wartości krotności przekroczenia wartości dopuszczalnej można ocenić ryzyko zawodowe związane z narażeniem na drgania jako małe, średnie lub duże. Ryzyko zawodowe jest małe, gdy krotność mieści się w zakresie: 0,2 ≤ kr ≤ 0,5; akceptowalne (średnie), gdy krotność jest z zakresu: 0,5 < kr ≤ 1; nieakceptowalne (duże), jeżeli wyznaczona krotność jest większa od 1, kr > 1.
Wyznaczona wartość ryzyka zawodowego determinuje rodzaj działań, które należy podjąć w ramach zapewnienia bezpieczeństwa i ochrony zdrowia pracowników, w tym także termin wykonania następnych kontrolnych badań drgań na ocenianym stanowisku pracy. Częstotliwość wykonywania badań czynników potencjalnie szkodliwych na stanowiskach pracy w zależności od wielkości ustalonego ryzyka zawodowego jest określona w rozporządzeniu Ministra Zdrowia w sprawie badań i pomiarów czynników szkodliwych dla zdrowia w środowisku pracy.
Źródło: "Ocena ryzyka zawodowego na stanowiskach pracy związanych z użytkowaniem pojazdów terenowych typu ATV". Materiały informacyjne"





