
PODSTAWOWE POJĘCIA ZWIĄZANE Z DRGANIAMI MECHANICZNYMI W ŚRODOWISKU PRACY
Skuteczne, skorygowane (ważone) przyspieszenia drgań
Podstawowym parametrem służącym do przeprowadzenia oceny narażenia na drgania zarówno miejscowe jak i ogólne są skuteczne skorygowane wartości przyspieszeń drgań zmierzone dla kierunków x, y i z na stanowisku pracy przy wykonywaniu każdej z wyodrębnionych (i-tej) czynności. Wartości zmierzonych przyspieszeń są korygowane (ważone) przy wykorzystaniu odpowiedniej dla każdego rodzaju drgań charakterystyki korekcyjnej.
Dla drgań działających przez kończyny górne przyjęto następujące oznaczenia skutecznych, skorygowanych przyspieszeń drgań:

gdzie: x, y, z - kierunek drgań, i - numer wykonywanej czynności
Dla drgań o działaniu ogólnym przyjęto następujące oznaczenia skutecznych, skorygowanych przyspieszeń drgań :

gdzie: gdzie: x, y, z - kierunek drgań, i - numer wykonywanej czynności.
Parametrem mającym istotne znaczenia zarówno przy ocenie drgań miejscowych jak i ogólnych jest całkowity czas narażenia pracownika na drgania w ciągu zmiany roboczej t [min], będący sumą czasów trwania ti poszczególnych czynności, wyliczany zgodnie z zależnością:

gdzie n - liczba czynności wykonywanych w narażeniu na drgania na danym stanowisku pracy.
Wielkości służące do oceny narażenia na drgania miejscowe
Podstawowymi wielkościami służącymi do oceny narażenia na drgania miejscowe są: suma wektorowa skorygowanych przyspieszeń drgań, oraz 8-godzinna (dzienna) ekspozycja na drgania.
Dla każdej wyodrębnionej czynności wykonywanej w narażeniu na drgania miejscowe wyliczana jest wartość sumy wektorowej skutecznych skorygowanych przyspieszeń drgań ahvi według następującej zależności:

Do oceny krótkotrwałego narażenia na drgania (dla czynności o czasach trwania 30 minut i krócej) wykorzystywana jest suma wektorowa skutecznych skorygowanych przyspieszeń drgań Do oceny narażenia wybierana jest maksymalna (ahv,30min,max) wartość sumy wektorowej spośród sum wektorowych wyznaczonych dla każdej czynności o czasie trwania mniejszym lub równym 30 minut, zgodnie z zależnością:

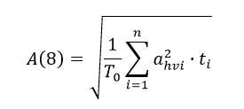
Do oceny narażenia drgania miejscowe gdy całkowity czas narażenia pracownika na drgania t przekracza 30 minut, wykorzystuje się wielkość nazywaną 8-godzinną (lub inaczej dzienną) ekspozycją na drgania obliczaną z zależności:

n - liczba czynności wykonywanych w narażeniu na drgania,
i - numer kolejnej czynności wykonywanej w narażeniu na drgania,
ahvi - sumy wektorowych, skutecznych ważonych przyspieszeń drgań dla i-tej czynności
ti - czas wykonywania i-tej czynności,
T0 - 480 minut (wartość odpowiadająca 8 godzinom)
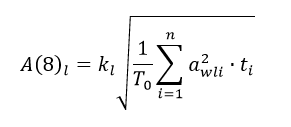
Wielkości służące do oceny narażenia na drgania ogólne
Podstawowymi wielkościami służącymi do oceny narażenia na drgania miejscowe są: wartość dominująca skutecznych skorygowanych przyspieszeń drgań, oraz 8-godzinna (dzienna) ekspozycja na drgania dla dominującego kierunku drgań.
Wartość dominująca skutecznych skorygowanych przyspieszeń drgań (aw,30min,max) stosowana jest do oceny krótkotrwałego narażenia na drgania (dla czynności o czasach trwania 30 minut i krócej). Wyznaczana jest ona zgodnie z zależnością:

n - liczba wykonywanych czynności w narażeniu na drgania,
i - numer czynności wykonywanej w narażeniu na drgania,
l - kierunek drgań (x, y lub z),
awli - skuteczne, skorygowane przyspieszenia drgań wyznaczone dla kierunku l z uwzględnieniem właściwych współczynników kierunkowych (1,4awxi, 1,4awyi, awzi)
Gdy całkowity czas narażenia pracownika na drgania t przekracza 30 minut, do oceny narażenia drgania ogólne wykorzystuje się wielkość nazywaną 8-godzinną (lub inaczej dzienną) ekspozycją na drgania obliczaną dla każdego kierunku drgań zgodnie z zależnością:

n - liczba wykonywanych czynności w narażeniu na drgania,
i - numer czynności wykonywanej w narażeniu na drgania,
l - kierunek drgań (x, y lub z),
kx = ky = 1,4, dla kierunków x i y; kz = 1 dla kierunku z,
ti - czas wykonywania i-tej czynności,
awli - wartość skorygowana przyspieszenia drgań, zmierzona w kierunku x, y i z dla i-tej czynności w narażeniu na drgania.
Ocena narażenia na drgania ogólne przeprowadzana jest na podstawie największej wartości 8-godzinnej ekspozycji wybranej spośród ekspozycji wyznaczonych dla trzech kierunków: max{Ax(8), Ay(8), Az(8)}
„WARTOŚCI DZIAŁANIA”
Gdy wartość wielkości charakteryzującej drgania mechaniczne przekroczy „wartość działania”, pracodawca jest zobowiązany podjąć określone w przepisach prawa działania mające na celu ograniczenie ryzyka zawodowego związanego z działaniem drgań. Wartości działania dla wielkości charakteryzujących drgania mechaniczne w środowisku pracy zostały podane w załączniku do rozporządzenia Ministra Gospodarki i Pracy z dnia 5 sierpnia 2005 r. w sprawie bezpieczeństwa i higieny pracy przy pracach związanych z narażeniem na hałas lub drgania mechaniczne (Dz. U. 2005, nr 157, poz. 1318). Wartości progów działania dla hałasu podano w tabeli 1.
Tabela 1. "Wartości działania" dla wielkości charakteryzujących drgania mechaniczne.
| Rodzaj drgań | Wielkość charakteryzująca drgania mechaniczne w środowisku pracy | Wartość działania |
| drgania działające przez kończyny górne (drgania miejscowe) | Ekspozycja dzienna A(8) wyrażona w postaci równoważnej energetycznie dla 8 godzin działania sumy wektorowej skutecznych, ważonych częstotliwościowo przyspieszeń drgań, wyznaczonych dla trzech składowych kierunkowych (ahwx, ahwy, ahwz) |
2,5 m/s2 |
| drgania o działaniu ogólnym (drgania ogólne) | Ekspozycja dzienna A(8) wyrażona w postaci równoważnego energetycznie dla 8 godzin działania skutecznego, ważonego częstotliwościowo przyspieszenia drgań, dominującego wśród przyspieszeń drgań, wyznaczonych dla trzech składowych kierunkowych z uwzględnieniem właściwych współczynników (1,4awx, 1,4awy, awz) |
0,5 m/s2 |
WARTOŚCI DOPUSZCZALNE (NDN)
Wielkości charakteryzujące drgania mechaniczne w środowisku pracy oraz wartości największych dopuszczalnych natężeń (NDN) dla tych wielkości zostały określone w załączniku do rozporządzenia Rozporządzenie Ministra Rodziny, Pracy i Polityki Społecznej z dnia 12 czerwca 2018 r. w sprawie najwyższych dopuszczalnych stężeń i natężeń czynników szkodliwych dla zdrowia w środowisku pracy. DzU 2018, poz. 1286. Zgodnie z tym rozporządzeniem drgania działające na organizm człowieka przez kończyny górne (drgania miejscowe) są charakteryzowane przez:
- ekspozycję dzienną (A(8)), wyrażoną w postaci równoważnej energetycznie dla 8 godzin działania sumy wektorowej skutecznych, ważonych częstotliwościowo przyspieszeń drgań, wyznaczonych dla trzech składowych kierunkowych (ahwx, ahwy, ahwz),
- ekspozycję trwającą 30 minut i krócej, wyrażoną w postaci sumy wektorowej skutecznych, ważonych częstotliwościowo przyspieszeń drgań (ahv, 30min) wyznaczonych dla trzech składowych kierunkowych (ahwx, ahwy, ahwz),
natomiast drgania o ogólnym działaniu na organizm człowieka (drgania ogólne) są charakteryzowane przez:
- ekspozycję dzienną (A(8)), tj. największą spośród ekspozycji wyznaczonych dla trzech kierunków: max{Ax(8), Ay(8), Az(8)}, wyrażoną w postaci równoważnego energetycznie dla 8 godzin działania skutecznego, ważonego częstotliwościowo przyspieszenia drgań
- ekspozycję trwającą 30 minut i krócej, wyrażoną w postaci skutecznego, ważonego częstotliwościowo przyspieszenia drgań (aw,30min), dominującego wśród przyspieszeń drgań, wyznaczonych dla trzech składowych kierunkowych z uwzględnieniem właściwych współczynników (1,4awx, 1,4awy, awz).
Dopuszczalne wartości drgań mechanicznych nie mogą przekraczać wartości podanych w Tabeli 2.
Tabela 2. Wartości dopuszczalne (NDN) drgań mechanicznych.
| Rodzaj drgań | Wielkość charakteryzująca drgania mechaniczne w środowisku pracy | Wartość dopuszczalna |
| Drgania działające przez kończyny górne (drgania miejscowe) | Dzienna ekspozycja na drgania, A(8) |
2,8 m/s2 |
| Krótkotrwała ekspozycja na drgania, ahv, 30min |
11,2 m/s2 |
|
| drgania o działaniu ogólnym (drgania ogólne) | Dzienna ekspozycja na drgania, A(8) |
0,8 m/s2 |
| Krótkotrwała ekspozycja na drgania, aw, 30min |
3,2 m/s2 |
Podane powyżej wartości NDN drgań stosuje się, jeżeli inne szczegółowe przepisy nie określają wartości niższych. W przepisach szczegółowych określone zostały wartości dopuszczalne dla drgań mechanicznych odnoszące się do osób młodocianych oraz kobiet w ciąży
W rozporządzeniu Rady Ministrów z dnia 5 lipca 2005 r. zmieniającym rozporządzenie w sprawie wykazu prac wzbronionych młodocianym i warunków ich zatrudniania przy niektórych z tych prac (Dz. U. 2005, nr 136, poz. 1145, ostatnia zmiana Dz. U. 2015 nr 0 poz. 929 2015.07.15 ) podano wartości dopuszczalne drgań dla młodocianych. Zgodnie z tym rozporządzeniem wzbronione jest zatrudnianie młodocianych na stanowiskach pracy, na których wartości drgań przekraczają wartości dopuszczalne podane w tabeli 3.
Tabela 3. Wartości dopuszczalne drgań mechanicznych dla pracowników młodocianych.
| Rodzaj drgań | Wielkość charakteryzująca drgania mechaniczne w środowisku pracy | Wartość dopuszczalna |
| drgania działające przez kończyny górne (drgania miejscowe) | Dzienna ekspozycja na drgania, A(8) |
1,0 m/s2 |
| Krótkotrwała ekspozycja na drgania, ahv, 30min |
4,0 m/s2 |
|
| drgania o działaniu ogólnym (drgania ogólne) | Dzienna ekspozycja na drgania, A(8) |
0,19 m/s2 |
| Krótkotrwała ekspozycja na drgania, aw, 30min |
0,76 m/s2 |
W rozporządzeniu Rady Ministrów z dnia 3 kwietnia 2017 r. w sprawie wykazu prac szczególnie uciążliwych lub szkodliwych dla zdrowia kobiet w ciąży i kobiet karmiących dziecko piersią. (Dz. U. 2017 poz. 796 podano wartości dopuszczalne drgań dla kobiet w ciąży. Zgodnie z tym rozporządzeniem wzbronione jest zatrudnianie kobiet w ciąży w warunkach narażenia na drgania ogólne oraz w warunkach narażenia na drgania działające przez kończyny górne, którego wartości przekraczają wartości dopuszczalne podane w tabeli 4.
Tabela 4. Wartości dopuszczalne drgań mechanicznych dla kobiet w ciąży.
| Rodzaj drgań | Wielkość charakteryzująca drgania mechaniczne w środowisku pracy | Wartość dopuszczalna |
| drgania działające przez kończyny górne (drgania miejscowe) | Dzienna ekspozycja na drgania, A(8) |
1,0 m/s2 |
| Krótkotrwała ekspozycja na drgania, ahv, 30min |
4,0 m/s2 |
|
| drgania o działaniu ogólnym (drgania ogólne) | Dzienna ekspozycja na drgania, A(8) |
Praca wzbroniona |
| Krótkotrwała ekspozycja na drgania, aw, 30min |
OCENA RYZYKA ZAWODOWEGO
Ocena ryzyka zawodowego związanego z narażeniem na drgania mechaniczne polega przede wszystkim na odniesieniu wyznaczonych wartości wielkości charakteryzujących dzienną i/lub krótkotrwałą ekspozycję na drgania mechaniczne (ogólne i miejscowe) w środowisku pracy do ich wartości dopuszczalnych. Należy przy tym uwzględnić czy pracownik, dla którego dokonywana jest ocena należy do grupy szczególnego ryzyka (osoba młodociana lub kobieta w ciąży). Oceniając ryzyko zawodowe można przyjąć zasadę opisaną w normie PN-N-18002 "Systemy zarządzania bezpieczeństwem i higieną pracy". Zgodnie z tą zasadą przyjęto, że ryzyko małe i średnie jest ryzykiem akceptowalnym, ryzyko duże – jest nie akceptowalne. Ryzyko najczęściej określa się na podstawie krotności (k) zmierzonej wartości w stosunku do określonej dla niej wartości NDN:
|
k ≤ 0,5 |
ryzyko małe |
|
0,5 < k ≤ 1 |
ryzyko średnie |
|
k > 1,0 |
ryzyko duże |
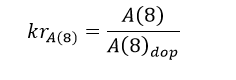
Oceniając ryzyko zawodowe związane z drganiami miejscowymi dokonuje się porównania wyznaczonej wartości 8-godzinnej ekspozycji na drgania, A(8) z wartością dopuszczalną A(8)dop i /lub maksymalnej wartości sumy wektorowej skutecznych ważonych przyspieszeń drgań ahv,30min,max z wartością dopuszczalną ahv,30min,dop. Odpowiednie krotności wartości NDN opisane będą zatem wzorami:
|
|
(1) |
|
|
(2) |
W przypadkach, gdy całkowity czas narażenia pracownika na drgania w ciągu doby, t, jest dłuższy niż 30 min (t > 30 min), ale choć jedna z wykonywanych czynności w ciągu dnia pracy w narażeniu na drgania trwa 30 min lub krócej (ti 30 min), ocena ryzyka zawodowego przeprowadzana jest zarówno w oparciu o 8-godzinną ekspozycję na drgania A(8) (krotność wyliczana ze wzoru (1)) jak i maksymalną wartość sumy wektorowej skutecznych ważonych przyspieszeń drgań ahv,30min,max (krotność wyliczana ze wzoru (2)). Podstawą oceny jest większa z wyznaczonych krotności.
W przypadkach, gdy całkowity czas narażenia pracownika na drgania w ciągu doby, t, jest równy lub krótszy niż 30 min ( 30 min), ocena ryzyka zawodowego przeprowadzana jest w oparciu o maksymalną wartość sumy wektorowej skutecznych ważonych przyspieszeń drgań ahv,30min,max (krotność wyliczana ze wzoru (2)).
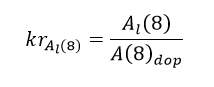
Oceniając ryzyko zawodowe związane z drganiami ogólnymi dokonuje się porównania wyznaczonej wartości 8-godzinnej ekspozycji na drgania Al(8) (największej spośród ekspozycji wyznaczonych dla trzech kierunków: max{Ax(8), Ay(8), Az(8)}, , z wartością dopuszczalną A(8)dop i /lub wartości składowej dominującej aw,30min,max wybranej spośród skutecznych ważonych przyspieszeń drgań z wartością dopuszczalną aw,30min,dop. Odpowiednie krotności wartości NDN opisane będą zatem wzorami:
|
|
(3) |
|
|
(4) |
W przypadkach, gdy całkowity czas narażenia pracownika na drgania w ciągu doby, t, jest dłuższy niż 30 min (t > 30 min) i czas trwania ti wszystkich n wykonywanych przez pracownika czynności w narażeniu na drgania jest dłuższy niż 30 min (ti > 30 min), ocena ryzyka zawodowego przeprowadzana jest w oparciu o 8-godzinną ekspozycję na drgania Al(8) (krotność wyliczana ze wzoru (3)).
W przypadkach, gdy całkowity czas narażenia pracownika na drgania w ciągu doby, t, jest dłuższy niż 30 min (t > 30 min), ale choć jedna z wykonywanych czynności w ciągu dnia pracy w narażeniu na drgania trwa 30 min lub krócej (ti 30 min), ocena ryzyka zawodowego przeprowadzana jest zarówno w oparciu o 8-godzinną ekspozycję na drgania Al(8) (krotność wyliczana ze wzoru (3)) jak i wartość dominującą aw,30min,max wybraną spośród skutecznych ważonych przyspieszeń drgań (krotność wyliczana ze wzoru (4)). Podstawą oceny jest większa z wyznaczonych krotności.
W przypadkach, gdy całkowity czas narażenia pracownika na drgania w ciągu doby, t, jest równy lub krótszy niż 30 min (30 min), ocena ryzyka zawodowego przeprowadzana jest w oparciu o wartość dominującą wybraną spośród skutecznych ważonych przyspieszeń drgań aw,30min,max (krotność wyliczana ze wzoru (4)).
Oceniając ryzyko zawodowe związane z narażeniem na drgania mechaniczne należy pamiętać że wyznaczone wartości należy odnieść do właściwych dla danego pracownika wartości NDN.
Na rysunkach 1, 2 przedstawiono schematycznie sposób przeprowadzania oceny ryzyka zawodowego związanego z narażeniem na drgania mechaniczne działające przez kończyny górne (drgania miejscowe) (rys. 1) z uwzględnieniem pracowników młodocianych i kobiet w ciąży z uwzględnieniem wartości NDN obowiązujących dla tych grup pracowników (rys. 2 - takie same wartości NDN).
Na rysunkach 3, 4 przedstawiono schematycznie sposób przeprowadzania oceny ryzyka zawodowego związanego z narażeniem na drgania mechaniczne ogólne (rys. 3) z uwzględnieniem pracowników młodocianych (rys. 4). Kobietom w ciąży praca w warunkach narażenia na drgania ogólne jest zabroniona.
Rys. 1. Ocena ryzyka zawodowego związanego z narażeniem na drgania miejscowe.
Rys. 2. Ocena ryzyka zawodowego związanego z narażeniem na drgania miejscowe dla pracowników młodocianych i kobiet w ciąży.
Rys. 3. Ocena ryzyka zawodowego związanego z narażeniem na drgania ogólne.
Rys. 4. Ocena ryzyka zawodowego związanego z narażeniem na drgania ogólne dla pracowników młodocianych.



