
ŚRODOWISKO TERMONEUTRALNE
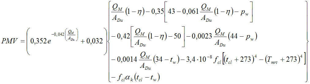
Wskaźnikiem umożliwiającym określenie odczuć cieplnych człowieka w danym środowisku jest wskaźnik PMV (Predicted Mean Vote – Przewidywana Średnia Ocena). Za pomocą wskaźnika PMV prognozuje się przeciętne wrażenia cieplne dużej grupy ludzi, poddanej działaniu określonej kombinacji zmiennych parametrów otoczenia [Sobolewski, A., Zwolińska, M. O problemach związanych z oceną środowiska cieplnego za pomocą wskaźnika PMV Bezpieczeństwo Pracy: nauka i praktyka 2011 nr 12 20-23; PN-EN ISO 7730:2006. Ergonomia środowiska termicznego – Analityczne wyznaczanie i interpretacja komfortu termicznego z zastosowaniem obliczania wskaźników PMV i PPD oraz kryteriów lokalnego komfortu termicznego (oryg).]
gdzie:
ADu – powierzchnia DuBois (powierzchnia ciała ludzkiego), m2
QM – ciepło metaboliczne, W
η – sprawność ruchowa ciała
pw – ciśnienie cząstkowe pary wodnej w powietrzu, mmHg
tw – temperatura powietrza, °C
fcl – stosunek pola powierzchni ciała okrytego odzieżą do pola powierzchni ciała odkrytego
tcl – średnia temperatura powierzchni ciała ludzkiego okrytej odzieżą, °C
Tmrt – średnia temperatura promieniowania, °C
αk – współczynnik przejmowania ciepła przez konwekcję, W/m2K.
Ze wskaźnikiem PMV związany jest wskaźnik PPD (Predicted Percentage of Dissatisfied przewidywany procent osób niezadowolonych) – określający przewidywany procent osób niezadowolonych [PN-EN ISO 7730:2006. Ergonomia środowiska termicznego – Analityczne wyznaczanie i interpretacja komfortu termicznego z zastosowaniem obliczania wskaźników PMV i PPD oraz kryteriów lokalnego komfortu termicznego (oryg).]
PPD = 100 - 95exp(-0,03353PMV4 - 0,2179PMV2)
Po przeprowadzeniu oceny lub pomiarów powyższych czynników można przewidzieć wrażenia cieplne człowieka, wyrażone w 7-stopniowej skali wrażeń cieplnych, jako: gorące (+3), ciepłe (+2), lekko ciepłe (+1), neutralne (0), lekko chłodne (-1), chłodne (-2), zimne (-3) obliczając wskaźnik PMV i PPD[Fanger P. O.: Komfort cieplny. Warszawa, Arkady 1974.; ASHRAE Handbook – HVAC Systems and Equipment. American Society of Heating, Refrigerating, and Air Conditioning Engineers, Inc., Atlanta.1996]
Na podstawie wskaźników PMV i PPD proponuje się określenie granic komfortu cieplnego jako zadawalających dla 80% ludzi, co odpowiada wartości wskaźnika PMV zawartej w granicach - 0,5 < PMV < + 0,5 (rys. 1) [PN-EN ISO 7730:2006. Ergonomia środowiska termicznego – Analityczne wyznaczanie i interpretacja komfortu termicznego z zastosowaniem obliczania wskaźników PMV i PPD oraz kryteriów lokalnego komfortu termicznego (oryg); Parsons K. C.: Human thermal environments. Taylor & Francis, London and New York, 2003].
Rys. 1. Zależność pomiędzy PMV a PPD [na podstawie PN-EN ISO 7730:2006. Ergonomia środowiska termicznego – Analityczne wyznaczanie i interpretacja komfortu termicznego z zastosowaniem obliczania wskaźników PMV i PPD oraz kryteriów lokalnego komfortu termicznego (oryg)]
Wskaźnik PMV wykorzystywany jest również do klasyfikacji środowisk termicznych. Zgodnie z Rozporządzeniem Ministra Rodziny, Pracy i Polityki Społecznej [Rozporządzenie Ministra Rodziny, Pracy i Polityki Społecznej z dnia 12 czerwca 2018 r. w sprawie najwyższych dopuszczalnych stężeń i natężeń czynników szkodliwych dla zdrowia w środowisku pracy. DzU 2018, poz. 1286] kryterium klasyfikacji środowiska termicznego do obszaru mikroklimatu gorącego jest wartość wskaźnika PMV ≥ +2, do mikroklimatu zimnego PMV ≤ -2 (rys. 2).
Rys. 2. Kryterium klasyfikacji środowisk termicznych w oparciu o wskaźnik PMV
Badania wykonuje się na stanowisku pracy za pomocą mierników mikroklimatu.
ŚRODOWISKO GORĄCE
Do określenia obciążenia cieplnego w środowisku gorącym stosowany jest wskaźnik WBGT (Wet Bulb Globe Temperature) [PN-EN ISO 7243:2018-01 Ergonomia środowiska termicznego -- Ocena obciążenia cieplnego za pomocą wskaźnika WBGT (temperatura wilgotnego termometru i poczernionej kuli); Rozporządzenie Ministra Rodziny, Pracy i Polityki Społecznej z dnia 12 czerwca 2018 r. w sprawie najwyższych dopuszczalnych stężeń i natężeń czynników szkodliwych dla zdrowia w środowisku pracy. DzU 2018, poz. 1286].
Przy określeniu wartości WBGT wymagane są pomiary: temperatury wilgotnej naturalnej tnw, temperatury poczernionej kuli tg, a w przypadku badań na zewnątrz budynku również temperatury powietrza ta. Sposób prowadzenia badań opisane są w normie PN-EN ISO 7243:2018-01. Badania wykonuje się na stanowisku pracy przy wykorzystaniu mierników mikroklimatu.
Obliczone wartości WBGT następnie porównywalne są z wartościami dopuszczalnymi zapisanymi w normie oraz Rozporządzeniu [Rozporządzenie Ministra Rodziny, Pracy i Polityki Społecznej z dnia 12 czerwca 2018 r. w sprawie najwyższych dopuszczalnych stężeń i natężeń czynników szkodliwych dla zdrowia w środowisku pracy. DzU 2018, poz. 1286] (tab.1).
Tabela 1. Dopuszczalne wartości WBGT, których nie można przekraczać w ciągu 8-godzinnego dobowego wymiaru czasu pracy [Rozporządzenie Ministra Rodziny, Pracy i Polityki Społecznej z dnia 12 czerwca 2018 r. w sprawie najwyższych dopuszczalnych stężeń i natężeń czynników szkodliwych dla zdrowia w środowisku pracy. DzU 2018, poz. 1286]
ŚRODOWISKO ZIMNE
Do określenia obciążenia cieplnego (długu cieplnego) w środowisku zimnym stosowany jest wskaźnik IREQ (Required Clothing Insulation) oraz twc (wind chill temperature) mówiące o dopuszczalnym wychłodzeniu miejscowym organizmu [PN-EN ISO 11079:2008. Ergonomia środowiska termicznego – Wyznaczanie i interpretacja stresu termicznego wynikającego z ekspozycji na środowisko zimne z uwzględnieniem wymaganej izolacyjności cieplnej odzieży (IREQ) oraz wpływu chłodzenia miejscowego (oryg.); Rozporządzenie Ministra Rodziny, Pracy i Polityki Społecznej z dnia 12 czerwca 2018 r. w sprawie najwyższych dopuszczalnych stężeń i natężeń czynników szkodliwych dla zdrowia w środowisku pracy. DzU 2018, poz. 1286].
IREQ to miara obciążenia cieplnego wywołanego zimnem, integrujący temperaturę powietrza, średnią temperaturę promieniowania, wilgotność oraz prędkość powietrza dla określonych poziomów metabolicznej produkcji ciepła. Jest wskaźnik charakteryzujący ciepłochłonność odzieży, wyznaczany w przypadku ogólnego oddziaływania środowiska zimnego na organizm człowieka. Badania parametrów środowiskowych na stanowisku pracy wykonuje się za pomocą mierników mikroklimatu. Następnie w oparciu o uzyskane wyniki pomiarów oblicza się wartości IREQ. Do tego celu można posłużyć się dedykowanymi programami obliczeniowymi. Przykładowy program do obliczeń wskaźnika IREQ znajduje się tu: http://www.eat.lth.se/fileadmin/eat/Termisk_miljoe/IREQ2009ver4_2.html
Pracownik eksponowany na środowisko zimne znajduje się w stresie bezpiecznej, w przypadku gdy wartość ciepłochłonności stosowanej odzieży mieści się w przedziale IREQmin ÷ IREQneutral (rys. 3). Wg normy PN-EN ISO 11079, IREQmin definiowany jest jako minimalna wartość wymaganej izolacyjności cieplnej w celu utrzymania równowagi termicznej organizmu na stałym poziomie, przy założeniu wartości średniej temperatury skóry na poziomie 30oC. IREQmin reprezentuje najwyższy dopuszczalny poziom stresu psychofizjologicznego (dopuszczalne wychłodzenie ogólne organizmu) w czasie zmiany roboczej. Natomiast IREQneutral definiowany jest jako izolacyjność cieplna odzieży wymagana do utrzymania warunków termoneutralnych, tj. stanu równowagi cieplnej organizmu, w którym średnia temperatura ciała jest utrzymywana na prawidłowym poziomie. W takich warunkach chłodzenie nie występuje lub jest minimalne.
Rys. 3. Strefa bezpieczna dla pracownika w środowisku zimnym oceniana za pomocą wskaźników IREQ
Natomiast wartości dopuszczalne wskaźnika twc w zależności od czasu narażenia można znaleźć w Rozporządzeniu Ministra Rodziny, Pracy i Polityki Społecznej [Rozporządzenie Ministra Rodziny, Pracy i Polityki Społecznej z dnia 12 czerwca 2018 r. w sprawie najwyższych dopuszczalnych stężeń i natężeń czynników szkodliwych dla zdrowia w środowisku pracy. DzU 2018, poz. 1286] (tabela 2).
Tabela 2 Wartości dopuszczalne wskaźnika twc w zależności od czasu narażenia [Rozporządzenie Ministra Rodziny, Pracy i Polityki Społecznej z dnia 12 czerwca 2018 r. w sprawie najwyższych dopuszczalnych stężeń i natężeń czynników szkodliwych dla zdrowia w środowisku pracy. DzU 2018, poz. 12863]
OCENA RYZYKA ZAWODOWEGO
Przyjmuje się trzy kategorie ryzyka: duże, średnie, małe [Sołtyński, K., Marszałek, A., Obciążenia termiczny W: Ryzyko zawodowe Metodyczne podstawy oceny, pod red. M.W. Zawieska, Warszawa 2007, CIOP-PIB].
Ocena ryzyka zawodowego w środowisku gorącym zdefiniowana jest za pomocą wskaźnika WBGT (rys. 4) [Sołtyński, K., Marszałek, A., Obciążenia termiczny W: Ryzyko zawodowe Metodyczne podstawy oceny, pod red. M.W. Zawieska, Warszawa 2007, CIOP-PIB].
Rys. 4. Ocena ryzyka w środowisku gorącym
Ocena ryzyka zawodowego w środowisku zimnym może być zdefiniowana za pomocą wskaźników IREQ oraz twc (rys. 5).
Rys. 5. Ocena ryzyka w środowisku zimnym (IREQ)







