
ZASADY OCENY NARAŻENIA I METODY BADAŃ PROMIENIOWANIA OPTYCZNEGO NA STANOWISKACH PRACY
WPROWADZENIE
Wszędzie tam, gdzie zidentyfikowane są źródła sztucznego promieniowania optycznego, które mogą stanowić o potencjalnej szkodliwości dla zdrowia konieczne jest przeprowadzenie badań poziomu ekspozycji pracownika, zgodnie z obowiązującymi przepisami (Rozporządzenie w sprawie bhp przy pracach związanych z ekspozycją na promieniowane optyczne[Dz.U. 2010 nr 100, poz. 643, ze zmianami, t.j. Dz.U. 2013 poz. 1619], Rozporządzenie w sprawie najwyższych dopuszczalnych stężeń i natężeń czynników szkodliwych dla zdrowia w środowisku pracy [Dz.U. 2018 poz. 1286], Rozporządzenie w sprawie badań i pomiarów czynników szkodliwych dla zdrowia w środowisku pracy [Dz. U z 2011 nr 33 poz. 166]). Poziom promieniowania jest to wartość parametrów charakteryzujących promieniowanie optyczne jako czynnik szkodliwy dla zdrowia w środowisku pracy, określonych w rozporządzeniu w sprawie bhp przy pracach związanych z ekspozycją na promieniowane optyczne [Dz.U. 2010 nr 100, poz. 643, ze zmianami, t.j. Dz.U. 2013 poz. 1619]. Natomiast poziom ekspozycji zgodnie z definicją zawartą w ww. rozporządzeniu jest to poziom promieniowania po uwzględnieniu środków ochrony zbiorowej, zastosowanych w celu ograniczenia ekspozycji pracownika na promieniowanie optyczne. Przy ocenie narażenia pracowników na sztuczne promieniowanie optyczne należy uwzględniać określone w przepisach prawnych kryteria oceny zagrożenia.
KRYTERIA OCENY ZAGROŻENIA NIELASEROWYM PROMIENIOWANIEM OPTYCZNYM
Autor: dr inż. Agnieszka Wolska
Rozporządzenie w sprawie najwyższych dopuszczalnych stężeń i natężeń czynników szkodliwych dla zdrowia w środowisku pracy [Dz.U. 2018 poz. 1286], oraz w sprawie bhp przy pracach związanych z ekspozycja na promieniowanie optyczne [Dz.U. 2010 nr 100, poz. 643, t.j. Dz.U. 2013 poz. 1619] określają kryteria oceny zagrożenia zdrowia promieniowaniem optycznym oraz wartości maksymalnych dopuszczalnych ekspozycji (MDE). Jeśli na stanowisku pracy występują przekroczenia wartości maksymalnych dopuszczalnych ekspozycji (MDE) dla promieniowania optycznego to wówczas stwierdza się duże ryzyko zawodowe związane z poziomem ekspozycji i muszą być podjęte natychmiastowe działania ograniczające to ryzyko. Dla każdego z zakresów promieniowania optycznego określone są kryteria oceny zagrożenia tym promieniowaniem.
Promieniowanie nadfioletowe
W przypadku ekspozycji na promieniowanie nadfioletowe dokonujemy oceny zagrożenia fotochemicznego oczu i skóry. W przypadku oceny zagrożenia fotochemicznego skóry oraz rogówki i spojówki oka wyznacza się napromienienie skuteczne Hs(wyznaczane według krzywej skuteczności aktynicznej S(l) - rys. 1) dla pasma 180-400 nm, które w ciągu zmiany roboczej nie powinno przekraczać 30 J/m2. Ponadto jeśli źródło emituje promieniowanie w zakresie UVA, wówczas dodatkowo ocenia się zagrożenie fotochemiczne soczewki oka i wyznacza się całkowite nieselektywne napromienienie HUVA oczu promieniowaniem pasma 315 ¸ 400 nm , które nie powinno przekraczać 10 000 J/m2 w ciągu zmiany roboczej.

Rys. 1. Względna skuteczność widmowa zagrożenia fotochemicznego nadfioletem (aktynicznego) S(l).
Rozkład widmowy względnej skuteczności biologicznej promieniowania nadfioletowego Sl powodującego powstanie rumienia skóry oraz stanów zapalnych rogówki i spojówki oka przedstawiono w normie PN-T-06589: 2002. Ochrona przed promieniowaniem optycznym. Metody pomiaru promieniowania nadfioletowego na stanowiskach pracy oraz w rozporządzeniu w sprawie bhp przy pracach związanych z ekspozycją na promieniowane optyczne [Dz.U. 2010 nr 100, ze zmianami, poz. 643, t.j. Dz.U. 2013 poz. 1619].
Promieniowanie widzialne i podczerwone
Ocena zagrożenia siatkówki oka
Ocena zagrożenia siatkówki oka wykonywana jest, gdy skład widmowy promieniowani optycznego emitowanego przez źródło jest z zakresu promieniowania widzialnego (VIS) i bliskiej podczerwieni (IRA). W przypadku, gdy źródło jest silnym bodźcem świetlnym, tzn. jego luminancja przekracza 10000 cd/m2 wówczas ocenia się zagrożenie fotochemiczne siatkówki oka światłem niebieskim oraz zagrożenie termiczne siatkówki oka promieniowaniem VIS i IRA. W przypadku gdy źródło emituje promieniowanie głównie z zakresu podczerwieni i jest słabym bodźcem świetlnym, wówczas ocenia się zagrożenie termiczne siatkówki oka promieniowaniem IRA. Widmową skuteczność uszkodzenia fotochemicznego siatkówki określa krzywa Bλ, natomiast uszkodzenia termicznego siatkówki – krzywa Rλ, które przedstawiono w normie PN-T-05687: 2002. Ochrona przed promieniowaniem optycznym. Metody pomiaru promieniowania widzialnego i podczerwonego na stanowiskach pracy oraz w rozporządzeniu w sprawie bhp przy pracach związanych z ekspozycją na promieniowane optyczne [Dz.U. 2010 nr 100, ze zmianami, poz. 643, t.j. Dz.U. 2013 poz. 1619].
W przypadku oceny zagrożenia fotochemicznego siatkówki dokonuje się oceny dla promieniowania z pasma 300 ¸ 700 nm określanym jako 'światło niebieskie'. Stąd przyjęło się mówić zagrożenie fotochemiczne Sitkówki oka światłem niebieskim. W zależności od kąta widzenia źródła promieniowania (α) i całkowitego czasu ekspozycji (t) wyznacza się odpowiednio wartości skutecznej luminancji energetycznej (LB) lub skutecznego natężenia napromienienia (EB) z uwzględnieniem skuteczności widmowej uszkodzenia fotochemicznego siatkówki oka B(λ) (rys. 2). Maksymalne dopuszczalne ekspozycje (MDE) dla zagrożenia fotochemicznego siatkówki oka promieniowaniem widzialnym w zależności od czasu ekspozycji i wielkości źródła światła przedstawiono w tabeli. 4.1.

Rys. 2. Względna skuteczność widmowa zagrożenia termicznego R(l) i fotochemicznego B(l) siatkówki [PN-T-06704:2003 Zestawienie maksymalnych dopuszczalnych ekspozycji dla niekoherentnego (nielaserowego) promieniowania optycznego].
Tabela 1. Wartości MDE przy ocenie zagrożenia fotochemicznego siatkówki oka [Wolska A. Czynniki szkodliwe w środowisku pracy. wartości dopuszczalne, CIOP-PIB, 2010].
|
Lp |
Maksymalne dopuszczalne ekspozycje (MDE) |
Czas ekspozycji (całkowity) |
|
|
Duże źródła α≥ 11 mrad |
Małe źródła α < 11 mrad |
||
|
1 |
LB = 106/t [W·m-2·sr-1] |
EB = 100 /t [W·m-2] |
t ≤ 10 000 s (166 min 40 s) |
|
2 |
LB = 100 [W·m-2·sr-1] |
EB = 0,01 [W·m-2] |
t > 10 000 s |
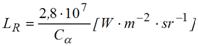
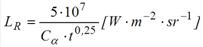
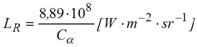
W przypadku oceny zagrożenia termicznego siatkówki w zależności od kąta widzenia źródła promieniowania (α) i jednorazowego czasu ekspozycji (ti) wyznacza się odpowiednio wartości skutecznej luminancji energetycznej (LR) z zakresu 380- 1400 nm (silny bodziec świetlny) lub z zakresu 780-1400 nm (słaby bodziec świetlny) z uwzględnieniem skuteczności widmowej uszkodzenia termicznego siatkówki oka R(λ) (rys. 1). Kryterium przyjęcia czy dane źródło promieniowania można uznać za słaby lub silny bodziec świetlny jest luminancja świetlna źródła wynosząca 10 000 cd/m2. Dla wartości luminancji źródła od 10 000 cd/m2 uznajemy że jest to silny bodziec świetlny a dla wartości mniejszych za słaby bodziec. Maksymalne dopuszczalne ekspozycje (MDE) dla zagrożenia termicznego siatkówki oka w zależności od czasu ekspozycji i wielkości źródła światła (od której zależy współczynnik Cα we wzorach na MDE) przedstawiono w tabelach 2 i 3.
Tabela 2. Wartości MDE przy ocenie zagrożenia termicznego siatkówki oka promieniowaniem z zakresu 380-1400 nm (silny bodziec świetlny L ≥ 10 000 cd/m2) [Wolska A. Czynniki szkodliwe w środowisku pracy. wartości dopuszczalne, CIOP-PIB, 2012].
|
Maksymalne dopuszczalne ekspozycje (MDE) |
Czas ekspozycji (jednorazowy) |
Bezwymiarowy współczynnik Cα |
|
|
t i≥ 10 s |
Cα = 1,7 dla α < 1,7 mrad Cα = α dla 1,7 ≤ α ≤ 100 mrad Cα = 100 dla α > 100 mrad |
|
|
10-6s ≤ ti < 10 s |
|
|
|
tii< 10-6 s |
Tabela 3. Wartości MDE przy ocenie zagrożenia termicznego siatkówki oka promieniowaniem z zakresu 780-1400 nm (słaby bodziec świetlny L < 10 000 cd/m2) [Wolska A. Czynniki szkodliwe w środowisku pracy. wartości dopuszczalne, CIOP-PIB, 2012]
|
Maksymalne dopuszczalne ekspozycje (MDE) |
Czas ekspozycji (jednorazowy) |
Bezwymiarowy współczynnik Cα |
|
|
ti > 10 s |
Cα = 11 dla α < 11 mrad Cα = α dla 11 ≤ α ≤ 100 mrad Cα = 100 dla α > 100 mrad |
|
|
10-6s ≤ ti ≤ 10 s |
|
|
|
ti < 10-6 s |
Ocena zagrożenia rogówki i soczewki oka
W przypadku ekspozycji na promieniowanie podczerwone należy wykonać ocenę zagrożenia termicznego rogówki i soczewki należy dla zakresu 780 ¸ 3 000 nm na podstawie pomiaru całkowitego natężenia napromienienia (EIR)w tym zakresie, a wartości MDE zależą od czasu jednorazowej ekspozycji i wynoszą odpowiednio:
EIR = 18 000 ti -0,75 W·m-2
gdy czas jednorazowej ekspozycji ti < 1 000 s,
lub:
EIR = 100 W·m-2
gdy czas jednorazowej ekspozycji ti ³ 1 000 s.
Ocena zagrożenia skóry
Ocenę zagrożenia termicznego skóry należy dokonywać dla promieniowania widzialnego i podczerwonego z zakresu 380 - 3000 nm w przypadku, gdy czas jednorazowej ekspozycji ti < 10 s. Wówczas całkowite napromienienie skóry Hskóra nie powinno przekraczać wartości określonej równaniem:
Hskóra = 20 000* ti 0,25 J*m-2
Jeśli czas jednorazowej ekspozycji przekracza 10 s, należy stosować wskaźnik obciążenia termicznego WBGT.
Sposób wyznaczania wartości MDE przy ekspozycji na nielaserowe promieniowanie optyczne dla wszystkich rodzajów zagrożeń dla zdrowia powodowanych przez to promieniowanie przestawiono dokładnie w poradniku „Sztuczne promieniowanie optyczne - zasady oceny ryzyka zawodowego”.
KRYTERIA OCENY RYZYKA
Zakres widmowy promieniowania wpływa istotnie na zakres oceny zagrożenia i determinuje rodzaj zagrożeń dla oczu i skóry, które powinny być uwzględnione również w ocenie ryzyka zawodowego. W ślad za wytypowanymi rodzajami zagrożeń, które powinny być uwzględnione w ocenie, idzie liczba niezbędnych do określenia poziomów ekspozycji eksponowanych części ciała pracownika, które następnie porównuje się z wyznaczonymi wartościami MDE. Na tej podstawie określa się ryzyko zawodowe związane z poziomem ekspozycji. W tym celu wyznacza się krotność wartości MDE i na tej podstawie określa poziom ryzyka tak jak przedstawiono poniżej.
Porównanie wyznaczonej wartości poziomu ekspozycji (PE) z wartością MDE polega na wyznaczeniu krotności MDE (k) , którą wyznacza się ze wzoru:
k = PE/MDE
W zależności od krotności MDE określa się ryzyko zawodowe ze względu na poziom ekspozycji oraz częstotliwość wykonywania pomiarów, zgodnie z rozporządzeniem MZ w sprawie badań i pomiarów czynników szkodliwych w środowisku pracy [Dz U z 2011 nr 33 poz 166].
Uwaga: w poradniku przyjęto następujące kryteria oceny ryzyka ze względu na poziom ekspozycji na nielaserowe promieniowanie optyczne:duże, jeśli: PE > MDE
średnie, jeśli: 0,7 MDE < PE ≤ MDE
małe, jeśli: PE ≤ 0,7 MDE
Przyjęte kryterium oceny dla średniego ryzyka zawodowego jest zgodne z prawnie obowiązującym kryterium częstotliwości wykonywania badań promieniowania optycznego na stanowiskach pracy [Rozporządzenie Ministra Zdrowia z dnia 2 lutego 2011 r. w sprawie badań i pomiarów czynników szkodliwych dla zdrowia w środowisku pracy (Dz. U. Nr 33, poz.166)]. Dzięki temu istnieje bezpośrednie przełożenie stwierdzonego w wyniku badań ryzyka na wymagany odstęp czasu między kolejnymi badaniami na tym stanowisku pracy.
Poziom ekspozycji narażonych części ciała może być ograniczony poprzez stosowanie środków ochrony indywidualnej jak okulary czy przyłbice ochronne, rękawice ochronne i odpowiednią odzież ochronną. Jednak środki te należy stosować w ostateczności, to znaczy wtedy, gdy poziom ekspozycji nie może być ograniczony środkami technicznymi (ekrany, przesłony, zastosowanie innego promiennika lub procesu technologicznego itp.) i organizacyjnymi (czas ekspozycji, odległość od źródła itp.). Jeśli stwierdzono, że poziom ekspozycji nie może być odpowiednio ograniczony żadnymi możliwymi do zastosowania środkami technicznymi lub organizacyjnymi, wówczas należy stosownie do występującego poziomu ekspozycji dobrać odpowiednie środki ochrony indywidualnej. Stopień tłumienia promieniowania przez stosowaną ochronę powinien zapewniać zmniejszenie poziomu ekspozycji oczu lub skóry do wartości poniżej MDE.Jeśli pracownik wyposażony jest w środki ochrony indywidualnej oczu (okulary, gogle), to należy sprawdzić prawidłowość dobrania tych środków [Wolska A. Promieniowanie optyczne w środowisku pracy, CIOP-PIB Warszawa, 2013].
Ponadto zgodnie z rozporządzeniem w sprawie bezpieczeństwa i higieny pracy przy pracach związanych z ekspozycją na promieniowanie optyczne (Dz.U. 2010 nr 100, ze zmianami, poz. 643, t.j. Dz.U. 2013 poz. 1619 U. 2013 poz. 1619) przy ocenie ryzyka zawodowego powinno uwzględnić się następujące aspekty:
- skutki dla zdrowia pracowników należących do grup szczególnego ryzyka
- skutki dla zdrowia wynikające ze współwystępowania w środowisku pracy promieniowania optycznego i fotouczulających substancji chemicznych
- skutki pośrednie mające wpływ na bezpieczeństwo pracowników 9zagrożenie pożarem, wybuchem lub olśnieniem)
Kryteria oceny ryzyka ze względu na ww. czynniki przedstawiono w monografii [Wolska A. Promieniowanie optyczne w środowisku pracy, CIOP-PIB Warszawa, 2013, oraz artykule Wolska A.: Metoda oceny ryzyka zawodowego związanego ze sztucznym promieniowaniem optycznym zgodnie z nowymi wymaganiami prawa, Prace Instytutu Elektrotechniki, 2012, zeszyt 256, 171-189]. Określone ryzyka cząstkowe dla wymienionych czynników są podstawą do oceny końcowej.
METODY BADAŃ
Autor: mgr inż. Andrzej Pawlak
Wybór metody pomiaru promieniowania optycznego uzależniony jest od następujących czynników:
- wielkości mierzonej,
- zastosowanego urządzenia pomiarowego,
- pasma pomiarowego długości fali,
- kalibracji miernika do pomiaru określonej wielkości,
- sposobu wykonania pomiaru,
- czasu pomiaru,
- obliczenia wyniku ze zmierzonej wielkości.
Metody pomiaru ekspozycji na promieniowanie nadfioletowe
Z zapisów zawartych w normach dotyczących pomiarów promieniowania nadfioletowego [PN-T-06589: 2002 Ochrona przed promieniowaniem optycznym – Metody pomiaru promieniowania nadfioletowego na stanowiskach pracy, PN-EN 14255-1: 2010. Pomiar i ocena ekspozycji osób na niespójne promieniowanie optyczne. Część 1: Promieniowanie nadfioletowe emitowane przez źródła sztuczne na stanowisku pracy] wynika, że do oceny zagrodzenia związanego z tym promieniowaniem niezbędne jest wyznaczenie następujących wielkości:
- skutecznego napromienienia (HS) lub skutecznego natężenia napromienienia (ES) w zakresie fal o długości 180 ÷ 400 nm,
- całkowitego napromienienia (HUVA) lub natężenia napromienienia (EUVA) w zakresie fal o długości 315 ÷ 400 nm.
Do tego celu mogą być wykorzystane następujące urządzenia pomiarowe:
- radiometr szerokopasmowy,
- spektroradiometr z matrycą detektorów,
- spektroradiometr skanujący,
- dozymetr ochrony osobistej.
W zależności od mierzonej wielkości radiometr szerokopasmowy może być wykalibrowany do pomiarów skutecznego napromienienia (HS), lub skutecznego natężenia napromienienia (ES), lub całkowitego napromienienia (He), lub natężenia napromienienia (Ee). Za pomocą spektroradiometrów można wykonać pomiar widmowego natężenia napromienienia. Natomiast dozymetry ochrony osobistej muszą być wykalibrowane do skutecznego napromienienia (HS). Wykalibrowanie mierników do pomiarów skutecznego napromienienia (HS) lub skutecznego natężenia napromienienia (ES) oznacza, że ich czułość widmowa musi być skorygowana do względnej skuteczności widmowej S(l). Natomiast w zależności od narządu, dla którego jest rozpatrywane zagrożenie, poszczególne urządzenia pomiarowe muszą być wykalibrowane do pomiarów w zakresie 180 ÷ 400 nm, lub 315 ÷ 400 nm. W przypadku urządzeń mierzących skuteczne natężenie napromienienia (ES), lub natężenia napromienienia (Ee) niezbędny jest pomiar czasu ekspozycji (jednorazowej i łącznej w ciągu całej zmiany roboczej).
W praktyce, do wykonywania pomiarów, wymaganych w normach, parametrów promieniowania nadfioletowego na stanowiskach pracy najwygodniejszym jest przenośny radiometr szerokopasmowy z zestawem sond pomiarowych odpowiednio dobranych do zakresu promieniowania oraz rozpatrywanego zagrożenia. W tym wypadku mogą wystarczyć dwie sondy: skorygowana do względnej skuteczności widmowej S(l) o zakresie 180 ÷ 400 nm oraz sonda nieselektywna o zakresie 315 ÷ 400 nm. Miernik ten umożliwia szybki pomiar oraz bezpośredni odczyt wartości mierzonej. Sondę pomiarową należy umieszczać na wysokości narządu (oko, skóra twarzy lub rąk), dla którego jest rozpatrywane zagrożenie. W przypadku wyznaczania ekspozycji poruszających się osób niezbędne jest wykonanie pomiarów w poszczególnych miejscach ich przebywania.
Metody pomiaru ekspozycji na promieniowanie widzialne i podczerwone
W celu oceny zagrożenia promieniowaniem widzialnym i podczerwonym, zgodnie z zapisami zawartymi w normach [PN-T-05687: 2002 Ochrona przed promieniowaniem optycznym – Metody pomiaru promieniowania widzialnego i podczerwonego na stanowiskach pracy.
i PN-EN 14255-2: 2010. Pomiar i ocena ekspozycji osób na niespójne promieniowanie optyczne. Część 2: Promieniowanie widzialne i podczerwone emitowane przez źródła sztuczne na stanowisku pracy], niezbędne jest wyznaczenie sześciu różnych parametrów tego promieniowania:
- skutecznej luminancji energetycznej (radiancji) (LB) w zakresie fal o długości 300 ÷ 700 nm,
- skutecznego natężenia napromienienia (EB) w zakresie fal o długości 300 ÷ 700 nm,
- skutecznej luminancji energetycznej (radiancji) (LR) w zakresie fal o długości 380 ÷ 1 400 nm (VIS i IRA),
- skutecznej luminancji energetycznej (radiancji) (LR) w zakresie fal o długości 780 ÷ 1 400 nm (IR-A),
- natężenia napromienienia (EIR) w zakresie o długości fal od 780 do 3 000 nm,
- natężenia napromienienia (Eskóra) lub napromienienia (Hskóra) w zakresie fal o długości od 380 do 3 000 nm.
Do tego celu mogą być wykorzystane następujące urządzenia pomiarowe:
- radiometr szerokopasmowy,
- spektroradiometr z matrycą detektorów,
- spektroradiometr skanujący.
Generalnie do oceny zagrożenia promieniowaniem widzialnym i podczerwonym niezbędne są pomiary: skutecznej luminancji energetycznej (radiancji) miernikiem wykalibrowanym do względnej skuteczności widmowej wywoływania uszkodzeń fotochemicznych B(l), lub wykalibrowanym do względnej skuteczności widmowej wywoływania uszkodzeń termicznych R(l) oraz natężenia napromienienia - o odpowiednich zakresach długości fal.
W przypadku oceny zagrożenia fotochemicznego siatkówki oka światłem niebieskim (z zakresu 300 ÷ 700 nm) wybór parametru mierzonego uzależniony jest od kąta widzenia źródła promieniowania (α). W przypadku kat widzenia α ≥ 11 mrad wówczas należy wykonać pomiar luminancji energetycznej (radiancji), a gdy α < 11 mrad - pomiar skutecznego natężenia napromienienia. W obu przypadkach sondy radiometru muszą być wykalibrowane do względnej skuteczności widmowej wywoływania uszkodzeń fotochemicznych B(l).
Ocenę zagrożenia termicznego siatkówki oka wykonuje się za pomocą radiometru, którego sonda będzie wykalibrowana do względnej skuteczności widmowej wywoływania uszkodzeń termicznych R(l). Natomiast wybór zakresu pomiarowego (380 ÷ 1 400 nm lub 780 ÷ 1 400 nm) uzależniony jest od występowania bodźca wizualnego. Przyjmuje się, że jego granica wynosi 10 000 cd/m2. Gdy wartość luminancji świetlnej jest przekroczona, wówczas oceny dokonuje się w zakresie promieniowania podczerwonego oraz widzialnego.
W obu powyższych przypadkach należy ponadto wykonać pomiar czasu jednorazowej ekspozycji oraz kąta widzenia źródła promieniowania (α).
Ocenę zagrożenia termicznego rogówki i soczewki oka oraz skóry należy wykonać za pomocą radiometru szerokopasmowego wyposażonego w sondy o stałej czułości widmowej w zakresie długości fal 780 ÷ 3 000 nm (oko) lub 380 ÷ 3 000 nm (skóra). Również w tych dwóch przypadkach należy wykonać pomiar czasu jednorazowej ekspozycji.
Pomiar ekspozycji na promieniowanie widzialne i podczerwone za pomocą radiometru szerokopasmowego wykonuje się analogiczne jak dla promieniowania nadfioletowego. Sondę pomiarową należy umieszczać na wysokości narządu (oko, skóra twarzy lub rąk), dla którego jest rozpatrywane zagrożenie. W przypadku wyznaczania ekspozycji poruszających się osób niezbędne jest wykonanie pomiarów w poszczególnych miejscach ich przebywania.
Przykładowym szerokopasmowym radiometrem, który można wyposażyć w sondy pomiarowe o różnych zakresach widmowych i charakterystykach jest radiometrem ILT 1700 lub ILT 1400 produkcji International Light – USA. Spośród sond pomiarowych, które oferuje producent, można dobrać takie, za pomocą których będzie można wykonać bezpośrednie pomiary prawie wszystkich wymaganych parametrów promieniowania optycznego. Na rys. 3 przedstawiono zakresy pomiarowe sond przeznaczonych do radiometru ILT 1700, a na rys. 4 widoki obu radiometrów z sondami pomiarowymi.

Rys. 3. Zakresy pomiarowe sond przeznaczonych do radiometru ILT 1700 [http://www.intl-lighttech.com/].

Rys. 4. Radiometry ILT 1700 i ILT 1400 z przykładowymi sondami pomiarowymi.
Metoda spektroradiometryczna
Za pomocą spektroradiometru, w zależności od zastosowanego układu wejściowego, można dokonać pomiaru widmowego natężenia napromienienia lub widmowej luminancji energetycznej (radiancji) źródła promieniowania.
Przykładem przenośnego systemu spektroradiometrycznego do pomiaru promieniowania optycznego z zakresu 200-2500 nm jest Spectis Touch 5.0 +IR1. Układ pomiarowy urządzenia składa się z dwóch spektroradiometrów:
- wykonany w technologii CCD z dwuwymiarową matrycą produkcji firmy Hamamatsu, współpracującą z siatką dyfrakcyjną. Pozwala on na pomiar promieniowania optycznego w zakresie od 200 nm do 1050 nm w 2048 przedziałach, przy zachowaniu rozdzielczości fizycznej na poziomie 0.5 nm. Tor optyczny spektrometru składający się ze szczeliny wejściowej o wymiarach 50x500 μm, siatki dyfrakcyjnej oraz zestawu filtrów i przysłon pozwala na osiągnięcie szerokości połówkowej FWHM na poziomie 3.5 nm;
- Hamamatsu C11118GA wyposażony w chłodzony detektor InGaS i pozwala na pomiar w zakresie od 900-2050 nm przy zapewnieniu dokładności odwzorowania na poziomie 3 nm i szerokości połówkowej na poziomie 20 nm. Pozwala to na rozszerzenie użytecznego zakresu spektralnego całego zestawu do przedziału od 200nm-2500nm.
Czas całkowania całego zestawu wynosi do 60 sekund. Zakres widmowy dla natężenia napromienienia to 200 – 2500 nm. Zakres widmowy dla luminancji energetycznej to 300 nm – 1400 nm. Zestaw spektroradiometrów zabudowany jest w skrzyni transportowej wyposażonej w akumulatorowy układ zasilania pozwalający na autonomiczną pracę zestawu przez co najmniej 6 godzin pracy. Posiada ona układ wentylacji i pozwala na transport urządzeń wraz z wyposażeniem. Widok zestawu spektroradiometrycznego i zestawu głowic pomiarowych przedstawiono na rys. 5.

Rys. 5. Widok zestawu sepktroradiometrycznego z wyposażeniem dodatkowym
Urządzenie pozwala na montaż różnego typu głowic pomiarowych dedykowanych do różnych zadań pomiarowych. Dostępne głowice pomiarowe obejmują m.in:
- Głowica kątowa (dyfuzor) i światłowodowa (dyfuzor) umożliwiające pomiar natężenia napromienienia
- Kula całkująca umożliwiające pomiar natężenia napromienienia
- Teleskop umożliwiający pomiar luminacji energetycznej (radiancji).
Metoda dozymetryczna
Metoda dozymetryczna polega na stosowaniu przez osoby badane dozymetrów ochrony osobistej. Stosuje się ja tylko do pomiaru ekspozycji na promieniowanie nadfioletowe. Jest to pomiar reprezentatywny na osobie badanej, gdyż umożliwia pomiar we wszystkich miejscach, w których przebywa ta osoba. W celu uzyskania większej liczby wyników często jest niezbędne stosowanie kilku dozymetrów. Za pomocą kilku dozymetrów można wyznaczyć rozkład ekspozycji na ciele człowieka. Na rys. 6 pokazano przykładowy dozymetr osobisty.

Rys. 6. Przykładowy dozymetr osobisty X2000-10 Gigahertz-Optik GmbH (Niemcy).



