Wykaz Projektów
- Opracowanie metody badania hełmów ochronnych w zakresie skuteczności ochrony przed uderzeniami poruszających się obiektów
- Opracowanie metody badania komfortu użytkowania obuwia ochronnego z wykorzystaniem modelu sztucznej stopy
- Upowszechnianie międzynarodowych zasobów informacyjnych sieci Europejskiej Agencji Bezpieczeństwa i Zdrowia w Pracy w środowisku użytkowników krajowych.
- Opracowanie techniki nanoszenia filtrujących powłok interferencyjnych na wizjerach chroniących przed szkodliwym promieniowaniem podczerwonym na gorących stanowiskach pracy
- Zastosowanie systemu automatycznej identyfikacji do monitorowania czasu użytkowania wybranych środków ochrony indywidualnej w celu wspomagania wypełniania obowiązków pracodawców wynikających z dyrektywy 89/656/EWG
- Aktywność zawodowa kobiet z niepełnosprawnością
- Metoda badania odporności na przenikanie ciekłych substancji chemicznych przez materiały barierowe odkształcane w warunkach wymuszonych zmian dynamicznych
- Kształtowanie probezpiecznych postaw pracowników i pracodawców poprzez informacyjne kampanie społeczne ukierunkowane na potrzeby wybranych środowisk
- Opracowanie narzędzi wspomagających wdrażanie w przedsiębiorstwach zasad społecznej odpowiedzialności biznesu (CSR) w obszarze bezpieczeństwa i higieny pracy
- Rozwój działań w obszarze bezpieczeństwa pracy na rzecz MŚP z wykorzystaniem Sieci Ekspertów ds. BHP certyfikowanych przez CIOP-PIB
- Aktywne układy dźwiękochłonno-izolacyjne sterowane algorytmami działającymi w oparciu o sieć neuronową i algorytm genetyczny
- Aktywne ochronniki słuchu sterowane algorytmem o stałych parametrach ustalonych z wykorzystaniem algorytmu genetycznego
- Interaktywny system do nauki prawidłowego użytkowania środków ochrony indywidualnej słuchu
- System zdalnego nadzoru prawidłowego użytkowania nauszników przeciwhałasowych
- Utworzenie i rozwój serwisu internetowego BEZPIECZNIEJ wspomagającego prowadzenie systemowej profilaktyki fizycznych zagrożeń środowiskowych
- Upowszechnianie wiedzy na temat bezpieczeństwa, higieny pracy i ergonomii wśród pracowników i pracodawców, z wykorzystaniem wybranych przedsięwzięć promocyjnych
- Wykorzystanie artystycznych środków przekazu do kształtowania postaw probezpiecznych w środowiskach uczniowskich i pracowniczych
- Opracowanie metodyki pomiaru parametrów fizycznych mikroklimatu pod odzieżą z wykorzystaniem systemu pomiaru, rejestracji i bezprzewodowej transmisji danych, do jej oceny w badaniach laboratoryjnych i użytkowych
- Badanie wpływu olśnienia na zdolność spostrzegania u osób starszych dla potrzeb określania ujednoliconego wskaźnika ograniczenia olśnienia (UGR) przy projektowaniu oświetlenia pomieszczeń pracy
- Działalność normalizacyjna w zakresie metod badań i kryteriów oceny stosowanych w obszarze bezpieczeństwa i higieny pracy oraz ergonomii
- Opracowanie znowelizowanych metod oznaczania 10 szkodliwych substancji chemicznych w powietrzu na stanowiskach pracy do oceny narażenia zawodowego.
- Opracowanie nowych metod oznaczania 12 szkodliwych substancji chemicznych występujących w powietrzu środowiska pracy planowanych do ujęcia w polskim wykazie NDS.
- Rozwój i utrzymanie kompetencji jednostki notyfikowanej oceniającej zgodność wyrobów z zasadniczymi wymaganiami bezpieczeństwa i ochrony zdrowia.
- Organizowanie i realizowanie krajowych i międzynarodowych programów porównań międzylaboratoryjnych w zakresie badania parametrów środowiska pracy, środków ochrony indywidualnej oraz maszyn.
- Zastosowanie technik rzeczywistości mieszanej do testowania optoelektronicznych urządzeń ochronnych wyposażonych w układ wizyjny.
- Opracowanie materiałów szkoleniowych i informacyjnych dotyczących wymagań wynikających z nowelizacji dyrektywy 89/686/EWG. Przeprowadzenie szkoleń oraz seminariów dla producentów, dystrybutorów środków ochrony indywidualnej i organów nadzoru rynku
- Badania nad zastosowaniem jonowych, elektroaktywnych materiałów polimerowych do konstrukcji odzieży chroniącej przed zimnem
- Poprawa bezpieczeństwa pracy spawaczy poprzez zastosowanie modułu rzeczywistości wzbogaconej wbudowanego w osłonę twarzy
- Opracowanie polimerowych sensorów temperatury i rozciągania do zastosowani w konstrukcji materiałów barierowych
- Badanie nad kształtowaniem mikroklimatu w obuwiu ochronnym na podstawie zmian parametrów przepływu krwi
- Opracowanie metody aplikacji bakterio- i grzybobójczych nośników funkcyjnych na struktury materiałowe stosowane w środkach ochrony indywidualnej
- Opracowanie modelowych rozwiązań detektorów zadziałania indywidualnego sprzętu chroniącego przed upadkiem z wysokości
- Utrzymanie i rozwój kompetencji technicznych akredytowanych laboratoriów badawczych i wzorcujących.
- Nadzór metrologiczny nad wyposażeniem pomiarowym stosowanym do badań laboratoryjnych w procesach oceny zgodności wyrobów oraz do badań związanych z kształtowaniem warunków pracy.
- Ocena zagrożenia nielaserowym promieniowaniem optycznym emitowanym przez sztuczne źródła na stanowiskach pracy.
- Określenie wymagań dotyczących odzieży motocyklowej stosowanej przez służby publiczne w celu zapewnienia komfortu termicznego.
- Indywidualnie modyfikowany ubiór do prac w zimnym środowisku.
- Opracowanie metody badania czasu zużycia rękawic chroniących przed olejami mineralnymi i wybranymi czynnikami mechanicznymi.
- Opracowanie metodyki badania pyłowości nanoobiektów.
- Opracowanie wytycznych do oceny i ograniczania ryzyka wypadkowego przy wykonywaniu robót montażowych w budownictwie.
- Opracowanie zasad zapobiegania obchodzeniu przez pracowników urządzeń ochronnych i osłon stosowanych do maszyn w celach prewencji wypadkowej.
- Walidacja wybranych testów temperamentu i osobowości dla potrzeb oceny predyspozycji do wykonywania zawodu kierowcy.
- Opracowanie programu modyfikacji zachowań z uwzględnieniem cech temperamentalnych kierowców oraz wyróżnieniem specyfiki zagrożeń w transporcie drogowym.
- Ocena materiałów przeznaczonych do stosowania w ochronach zbiorowych przed hałasem ultradźwiękowym. Opracowanie baz danych.
- Wytyczne do wyznaczania rzeczywistego wskaźnika ochrony na stanowiskach pracy dla różnego typów sprzętu ochrony układu oddechowego.
- Opracowanie metody badania procesu przenikania rozpuszczalników organicznych w warunkach niskich temperatur przez barierowe materiały powleczone, modyfikowane nanonapełniaczami.
- Opracowanie metod oceny poziomu przemocy w pracy oraz sposobów jej przeciwdziałania.
- Ocena zawodowych zagrożeń elektromagnetycznych przy urządzeniach fizykoterapeutycznych.
- Ocena zagrożeń elektromagnetycznych związanych z wykorzystaniem mobilnych urządzeń łączności bezprzewodowej przez pracowników wybranych służb ratunkowych i mundurowych, na podstawie badań modelowych.
- Rozwój działalności Centrum Badań i Promocji Bezpieczeństwa Elektromagnetycznego Pracujących i Ludności (EM-Centrum) w kontekście wdrażania międzynarodowych wymagań do prawa pracy w Polsce.
- Narażenie młodych pracowników na psychospołeczne czynniki ryzyka występujące w środowisku pracy w sektorze usług hotelarskich i gastronomicznych oraz w sektorze informacja i komunikacja.
- Ocena obciążenia psychofizycznego pracowników na stanowiskach pracy związanych z wykonywaniem zadań o dużych wymaganiach percepcyjnych i decyzyjnych na przykładzie kontrolerów ruchu lotniczego.
- Ocena narażenia wynikającego z emisji substancji chemicznych z biurowych urządzeń drukujących i powielających.
- Ocena zagrożeń oraz identyfikacja niebezpiecznych substancji emitowanych w procesach otrzymywania wybranych tworzyw sztucznych i tkanin o zmniejszonej palności zawierających antypireny oraz nanocząstki.
- Opracowanie metody badania skuteczności działania wyciągów laboratoryjnych na stanowiskach pracy.
- Ocena narażenia pracowników konserwujących instalacje wentylacyjne na szkodliwe czynniki biologiczne i chemiczne.
- Ocena narażenia na szkodliwe substancje chemiczne występujące w powietrzu podczas konserwacji obrazów.
- Ocena narażenia zawodowego na szkodliwe czynniki mikrobiologiczne w muzeach i pracownikach konserwacji zabytków
- Opracowanie metody kompleksowej oceny ryzyka zawodowego w zakresie dolegliwości mięśniowow-szkieletowych.
- Opracowanie programów promujących aktywność ruchową wśród pracowników w celu zmniejszenia dolegliwości mięśniowo-szkieletowych i poprawy zdolności do pracy.
- Ocena szkodliwego działania nanomateriałów stosowanych w technologii tworzyw sztucznych metodami in vitro w celu profilaktyki zagrożeń.
- Ocena obciążenia zmiennością termiczną na wybranych stanowiskach pracy.
- Badanie reakcji układu krążenia na ciągłą i przerywaną ekspozycję na środowisko zimne.
- Kształtowanie klimatu akustycznego w odkrywkowych kopalniach surowców skalnych jako element rozwoju zrównoważonego.
- Ocena i sposoby zmniejszania narażenia na hałas nauczycieli muzyki.
- Opracowanie metody uwzględnienia niepewności pomiarów w ocenie ryzyka zawodowego związanego z narażeniem na hałas ultradźwiękowy.
- Ocena skuteczności ograniczenia hałasu impulsowego przez wkładki przeciwhałasowe.
- Ocena narażenia na drgania mechaniczne pracowników wykorzystujących pojazdy jednośladowe
- Zasady doboru środków prewencji metodą analiz stanowisk pracy w celu ograniczania zagrożeń urazowych w małych polskich przedsiębiorstwach budowlanych.
- Opracowanie zasad stosowania podsystemów transmisji danych w związanych z bezpieczeństwem systemach sterowania maszyn.
- Opracowanie zasad bezpieczeństwa dotyczących układów hydraulicznych w stacjonarnych maszynach przemysłowych.
- Badania i opracowanie rozwiązań organizacyjnych zmniejszających ryzyko wypadkowe wynikające z ruchu podnośnikowych wózków jezdniowych w transporcie wewnątrzzakładowym
- Ocena możliwości inicjacji zapłonu atmosfer wybuchowych o małych energiach zapłonu, na stanowiskach pracy, przez elektrostatyczne wyładowania ulotowe.
- Komputerowe narzędzia wykorzystujące techniki rzeczywistości wirtualnej VR do interaktywnego odwzorowania wybranych zagrożeń mechanicznych dla zapobiegania zdarzeniom wypadkowym przy obsłudze suwnicy.
- Aktualizacja Międzynarodowych Kart Charakterystyki Zagrożeń Zawodowych i oceny ryzyka dla potrzeb ukierunkowania doboru do zawodu i profilaktyki zagrożeń.
- Rozwój internetowej bazy wiedzy ChemPył wspomagającej prowadzenie oceny narażenia zawodowego na substancje chemiczne.
- Ocena działań podejmowanych w polskich przedsiębiorstwach ukierunkowanych na utrzymanie w zatrudnieniu pracowników starszych (50+).
- Opracowywanie i wydawanie międzynarodowego czasopisma naukowego International Journal of Occupational Safety and Ergonomics (JOSE).
- Opracowywanie i wydawanie krajowego czasopisma naukowego Podstawy i Metody Oceny Środowiska Pracy.
- Opracowywanie i wydawanie specjalistycznych wydawnictw i materiałów upowszechniających wiedzę z dziedziny bezpieczeństwa pracy i ergonomii.
- Rozwój i aktualizacja powszechnie dostępnego internetowego portalu informacyjnego w zakresie bezpieczeństwa i higieny pracy oraz ergonomii.
- Działalność informacyjna Krajowego Centrum Informacji o Bezpieczeństwie i Higienie Pracy (CIS) dla krajowych i zagranicznych użytkowników, w ramach współpracy z Międzynarodowym Centrum CIS-ILO i siecią innych Centrów CIS.
- Opracowywanie i wydawanie krajowego czasopisma popularnonaukowego Bezpieczeństwo Pracy. Nauka i Praktyka.
- Rozwój działalności Krajowego Punktu Centralnego Europejskiej Agencji Bezpieczeństwa i Zdrowia w Polsce, zgodnie z europejskimi priorytetami w zakresie informacji o bezpieczeństwie pracy i ergonomii.
- Opracowanie metod i narzędzi do badania warunków pracy z wykorzystaniem subiektywnych ocen narażenia zawodowego
- Koszty i korzyści działań skierowanych na ograniczenie absencji chorobowej związanej z pracą.
- Ocena możliwości powstawania szczególnie niebezpiecznych substancji chemicznych w warunkach pożarowych scenariuszy poważnych awarii w obiektach magazynujących chemikalia.
- Ocena toksycznego działania nanocząstek metali i tlenków metali metodami in vitro w celu profilaktyki zagrożeń
- Ocena składu chemicznego ultradrobnych cząstek stałych frakcji spalin biodiesla i ich właściwości toksycznych metodami in vitro dla celów profilaktyki
- Badanie procesu emisji nanoobiektów oraz ocena narażenia zawodowego podczas wytwa-rzania i stosowania nanomateriałów
- Nowe systemy recepturowe do produkcji ogniobezpiecznej elastycznej pianki poliuretanowej
- System ergonomicznego oświetlenia pośredniego z nowoczesnymi źródłami światła na stanowiskach pracy z monitorami ekranowymi
- Doskonalenie dostępu do dziedzinowych zasobów informacyjnych w bibliotecznym systemie komputerowym z wykorzystaniem Tezaurusa "Bezpieczeństwo pracy i ergonomii".
- Digitalizacja wybranych pozycji wydawnictw księgozbioru Biblioteki CIOP-PIB z dziedziny bezpieczeństwa i higieny pracy.
- Działalność naukowa i popularnonaukowa CIOP/CIOP-PIB w zakresie ochrony człowieka w środowisku pracy w wybranych wydawnictwach z lat 1950-2010, w kontekście zmian społeczno-gospodarczych.
- Weryfikacja i wzbogacanie o nowe treści materiałów edukacyjnych z zakresu bezpieczeństwa i higieny pracy dla wszystkich poziomów edukacji szkolnej, akademickiej i ustawicznej.
- Rozwój zakresu stosowania technik informatycznych wykorzystywanych w nauczaniu i szkoleniach w zakresie bezpieczeństwa i higieny pracy oraz ergonomii.
- Multimedialne wizualizacje wykonane w systemie CAD wybranych zagrożeń mechanicznych występujących w warsztatach samochodowych, w celu wspomagania szkoleń pracowników w zakresie bezpieczeństwa i higieny pracy.
- Utrzymanie i rozwój systemu dobrowolnej certyfikacji kompetencji osób i uznawania kompetencji jednostek edukacyjnych wpływających na kształtowanie warunków pracy w Polsce oraz wsparcie służby bezpieczeństwa i higieny pracy poprzez utrzymanie i rozwój Sieci Regionalnych Ośrodków BHP.
- Ocena możliwości zatrudniania osób niepełnosprawnych w zawodach uwzględnionych w "Przewodniku po zawodach".
- Szacowanie społecznych kosztów wypadków przy pracy i chorób zawodowych.
- Pogłębione analizy wypadków przy pracy w ramach Centrum Analiz Wypadkowych.
- Rozwój instrumentarium komputerowego oraz serwisów internetowych wspomagających prowadzenie działań z zakresu bhp dla mikro- i małych przedsiębiorstw.
- Rozwój i aktualizacja oprogramowania komputerowego wspomagającego zarządzanie bezpieczeństwem i higieną pracy w polskich przedsiębiorstwach.
- Rola związków zawodowych w kształtowaniu bezpieczeństwa i higieny pracy.
- Materiały wspomagające stosowanie procedur przeciwdziałania poważnym awariom uwzględniających zmiany przepisów UE oraz materiały wspomagające zarządzanie ryzykiem wystąpienia poważnych awarii w zakładach zagrażających poważną awarią przemysłową.
- Opracowanie metod i sposobów spełniających wymagania bezpieczeństwa chemicznego dla przechowywania towarów w magazynach, w szczególności w małych i średnich przedsiębiorstwach.
- Badanie rozległości wyładowań elektrostatycznych z powierzchni naelektryzowanych dielektryków dla potrzeb ochrony przeciwwybuchowej
- Badanie, ocena i podstawy do ograniczenia zagrożenia lotnymi frakcjami produktów destrukcji cieczy chłodząco- smarujących stosowanych do powierzchniowej obróbki metali
- Oddziaływanie wybranych nanocząstek glinokrzemianów stosowanych w produkcji nanokompozytów polimerowych na surfaktant płucny
- Badanie zjawisk jednoczesnego oddziaływania cząstek aerozoli cieczy i ciał stałych na sprawność układów filtracyjnych w procesach obróbki mechanicznej
- Ocena akustyczna pomieszczeń dydaktycznych przy niepełnej informacji o parametrach akustycznych z zastosowaniem metody SVD
- Badania parametrów akustycznych charakteryzujących pomieszczenia przeznaczone do komunikacji słownej w aspekcie poprawy warunków pracy na stanowiskach pracy
- Ocena narażenia na hałas operatorów nietechnologicznych źródeł ultradźwiękowych i opracowanie zasad profilaktyki
- Badania możliwości zastosowania materiałów inteligentnych przy opracowaniu adaptera do pomiaru parametrów drgań mechanicznych z uwzględnieniem czynników związanych z procesem pracy
- Ocena zagrożeń radiofalowym promieniowaniem elektromagnetycznym (RF-EMF) wybranych grup pracowników z wykorzystaniem pomiarów ekspozymetrycznych
- Kompleksowa ocena zagrożeń bezpieczeństwa i zdrowia w placówkach diagnostyki obrazowej na potrzeby profilaktyki
- Opracowanie metod pomiaru współczynnika pochłaniania dźwięku materiałów oraz izolacyjności akustycznej przegród w zakresie częstotliwości powyżej 5 kHz
- Ocena wrażliwości szczepów mikroorganizmów izolowanych z mgły olejowej na wybrane biocydy stosowane jako dodatki do cieczy obróbkowych w przemyśle maszynowym
- Rola efektu mikrofalowego w procesie sterylizacji ograniczającej zagrożenie związane ze skażonymi mikrobiologicznie materiałami budowlanymi
- Kompatybilność metod oceny wewnętrznego i zewnętrznego obciążenia układu mięśniowo-szkieletowego
- Badania wpływu oddziaływania wibracji miejscowej na czynność bioelektryczną mięśni kończyny górnej
- Ocena zagrożeń bezpieczeństwa i zdrowia przy obsłudze sieci elektroenergetycznych wysokiego napięcia na potrzeby profilaktyki
- Metody redukcji obciążenia termicznego z wykorzystaniem innowacyjnych związków zmiennofazowych (PCM) implementowanych w odzieży ochronnej
- Ocena zagrożeń biologicznych związanych z przetwarzaniem biomasy do celów energetycznych
- Ocena wpływu wieku i płci na zmęczenie pracowników na podstawie zapisu czynności elektrycznej mięśni
- Opracowanie modeli wymiany ciepła (kobiet i mężczyzn) oraz ocena interakcji cieplnych w oddziaływaniu osób na środowisko cieplne w pomieszczeniach
- Zasady projektowania i adaptacji miejsc pracy do możliwości i potrzeb osób z niepełnosprawnością ruchową i sensoryczną
- Badanie związków między stylem przywództwa, klimatem dla kreatywności, innowacyjnością i efektywnością pracy
- Badanie organizacyjnych czynników ryzyka przemocy w pracy i opracowanie metod przeciwdziałania ze szczególnym uwzględnieniem grupy kobiet
- Modele biodegradowalnych układów filtracyjnych do zastosowania w sprzęcie ochrony układu oddechowego
- Modelowe rozwiązania nanokompozytów polimerowych do zastosowania w materiałach dwufunkcyjnych chroniących przed olejami i czynnikami mechanicznymi
- Ocena związku psychospołecznych warunków pracy i cech osobowościowych pracowników z organizacyjną i indywidualną kulturą bezpieczeństwa w przedsiębiorstwach transportu drogowego
- Ocena i podstawy kształtowania czynników psychofizycznych i organizacyjnych pracy w rolnictwie w aspekcie poprawy bezpieczeństwa pracy
- Opracowanie modelu systemu natychmiastowego zadziałania ucieczkowego sprzętu do ochrony układu oddechowego przed tlenkiem węgla i poparzeniem dróg oddechowych do stosowania w podziemnych zakładach górniczych
- Opracowanie modeli numerycznych charakterystyk siła- wydłużenie dynamiczne podzespołów łącząco- amortyzujących dla symulacji zadziałania sprzętu chroniącego przed upadkiem z wysokości
- Aktywny układ chłodzący do stosowania pod odzieżą ochronną w gorącym środowisku pracy
- Komputerowe modele kończyny górnej z możliwością symulowania złamań oraz głowy z przemysłowym hełmem ochronnym dla potrzeb rekonstrukcji i zapobiegania wypadkom przy pracy
- System wspomagania rehabilitacji kończyn górnych z wykorzystaniem techniki rzeczywistości wirtualnej
- Metoda oceny ryzyka na etapie projektowania maszyn z zastosowaniem techniki rzeczywistości wirtualnej
- Wykorzystanie technik rzeczywistości wirtualnej do szkolenia górników w zakresie postępowania w czasie prac szczególnie niebezpiecznych
- Ocena funkcjonowania przedsiębiorstwa w obszarze BHP z wykorzystaniem wskaźników wynikowych i wiodących
- Rozwój systemu bodźców ekonomicznych w obszarze bezpieczeństwa pracy i ochrony zdrowia
- Ocena oddziaływania czynników środowiska pracy na absencję chorobową
- Opracowanie modelu matematycznego i oprogramowania komputerowego do badania procesów ewakuacji ludzi z budynków wielokondygnacyjnych z uwzględnieniem wybranych zjawisk krytycznych hamujących ruch ludzi
- Działalność Międzyresortowej Komisji ds. Najwyższych Dopuszczalnych Stężeń i Natężeń Czynników Szkodliwych dla Zdrowia w Środowisku Pracy
Streszczenie
Badania wpływu oddziaływania wibracji miejscowej na czynność bioelektryczną mięśni kończyny górnej
Kierownik projektu: dr hab. inż. Danuta Roman-Liu, prof. CIOP-PIB
Streszczenie projektu:
Projekt IV.B.04: Badania wpływu oddziaływania wibracji miejscowej na czynność bioelektryczną mięśni kończyny górnej | |
Okres realizacji: | 1.01.2011– 31.12.2013 |
Zadanie/etap 3.: | Opracowanie metody oceny zmian w obrębie układu mięśniowo-szkieletowego kończyny górnej, wynikłych na skutek używania narzędzi wywołujących wibrację miejscową. Opracowanie broszury. Opracowanie materiałów szkoleniowych. Publikacja |
Główny wykonawca: | dr hab. inż. Danuta Roman-Liu, prof. CIOP-PIB – Centralny Instytut Ochrony Pracy – Państwowy Instytut Badawczy, Zakład Ergonomii |
Celem projektu była ocena łącznego wpływu wibracji miejscowej i pozycji ciała na zmiany bioelektrycznej czynności mięśni kończyny górnej narażonej na oddziaływanie mechanicznych drgań narzędzi wibracyjnych oraz opracowanie wskaźników sygnału EMG charakteryzujących wpływ ich oddziaływania na mięśnie kończyny górnej.
W badaniach doświadczalnych uczestniczyło 30 mężczyzn. Badano wskaźniki sygnału EMG mięśni obręczy barkowej, ramienia i przedramienia. Mierzono sygnał EMG z ww. mięśni, przy obciążeniu wynikającym z utrzymywania pozycji ciała, wywierania siły nacisku i obecności drgań mechanicznych. W pierwszej części badań wykonano pomiar przy nacisku badanego na wibrujący uchwyt o docelowej wartości 10 N i zacisku dłoni o wartości na uchwycie 30 N. W drugiej części nacisk badanego na uchwyt wynosił 50 N przy takiej samej sile zacisku dłoni na uchwycie, tj. 30 N.
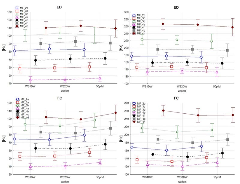
W celu wyznaczenia parametrów sygnał EMG został podzielony na okna o długości 1 s. Dla każdego z okien obliczono parametr RMS (root mean square) wyrażający amplitudę sygnału oraz parametry analizowane w dziedzinie częstotliwości, czyli częstotliwość medialną (MF)i pochodne częstotliwości medialnej, a także częstotliwości graniczne. Pochodne częstotliwości medialnej są częstotliwościami kolejnego podziału połówek widma. Ostatni podział dostarcza ośmiu parametrów pochodnych częstotliwości medialnych (MF4_a, MF4_b, MF4_c, MF4_d, MF4_e, MF4_f, MF4_g i MF4_h), które dzielą widmo mocy na 16 równych części.
Na podstawie badań z zastosowaniem elektroneurografii wyodrębniono grupę 14 osób, u której badania lekarskie wykazały występowanie uszkodzeń wskazujących na zespół kanału nadgarstka lub uszkodzenie nerwu łokciowego. Analiza obliczonych parametrów sygnału EMG była przeprowadzana z uwzględnieniem różnicowania pomiędzy grupami osób z ww. uszkodzeniami w obszarze nadgarstka i przedramienia i na grupę osób bez stwierdzonych uszkodzeń. 30-osobowa grupa została także podzielona w sposób losowy na dwie podgrupy, o takiej samej liczbie osób z uszkodzeniem w każdej z grup. Badano, czy w poszczególnych parametrach występują różnice między dwoma grupami różnicowanymi ze względu na uszkodzenie układu nerwowego w obrębie nadgarstka i przedramienia oraz ze względu na podział losowy. W przypadku parametrów, w których wystąpiły istotne statystycznie różnice ze względu na występowanie uszkodzenia, a nie wystąpiły różnice ze względu na podział losowy, przyjmowano, że te właśnie parametry mogą być traktowane jako wskazujące na uszkodzenia. W drugiej części analizy porównywano parametry wskazujące na uszkodzenia uzyskane dla napięcia mięśni na poziomie 50% MVC oraz podczas pracy z narzędziem wytwarzającym drgania.
W wyniku analizy wyszczególniono parametry opisujące pochodne częstotliwości medialnej, które można uznać za wskaźniki zmian spowodowanych pracą w narażeniu na występowanie drgań mechanicznych. Są to parametry, które opisują częstotliwości po stronie częstotliwości wyższych od częstotliwości medialnej widma mocy.
Określono parametry analizy widmowej sygnału EMG, które są wrażliwe na występujące uszkodzenia w układzie nerwowym obszaru przedramienia i nadgarstka.
Projekt IV.B.04. Pochodne częstotliwości medialnej (wartość średnia i 95-procentowy przedział ufności z całej 30-osobowej grupy badanej) w mięśniach (ED – extensor digitorum i FC – flexor capri ulnaris).
Wynikiem końcowym realizacji projektu jest metoda oceny zmian w mięśniach związanych z ich obciążeniem podczas używania narzędzi wywołujących wibrację miejscową. Algorytm działania metody opiera się na opracowanych, w ramach realizacji projektu, parametrach sygnału EMG w trakcie oddziaływania wibracji miejscowej. Opracowano materiały szkoleniowe na temat obciążenia mięśniowego wywołanego łącznym oddziaływaniem wibracji miejscowej i niewygodnych pozycji ciała oraz przeprowadzono seminarium dla inżynierów bezpieczeństwa pracy i pracowników pracujących z narzędziami wytwarzającymi wibrację miejscową.
Wyniki projektu przedstawiono w 4 publikacjach o zasięgu międzynarodowym.
Jednostka: Pracownia Biomechaniki
Okres realizacji: 01.01.2011 – 31.12.2013
