System aktywnej sygnalizacji dźwiękowej


Zintegrowany sygnalizator ostrzegawczy do zastosowania w pojazdach uprzywilejowanych będzie złożonym urządzeniem pełniącym jednocześnie kilka różnych funkcji. Sposób jego wykorzystania w pojazdach uprzywilejowanych pokazano poglądowo na Rys. 1.
Pierwszą z podstawowych funkcji sygnalizatora zintegrowanego będzie wytwarzanie sygnału ostrzegawczego pojazdu uprzywilejowanego przy wykorzystaniu przetwornika elektroakustycznego (elementy oznaczone kolorem zielonym na Rys. 1).
Drugą z podstawowych funkcji sygnalizatora zintegrowanego będzie usprawnienie i polepszenie funkcjonowania łączności radiowej pomiędzy załogą pojazdu uprzywilejowanego a dyspozytorem (elementy oznaczone kolorem brązowym). W tym celu sygnalizator będzie miał wbudowane elektroniczne układy współpracujące z układem nadajnika/odbiornika radiowego, mikrofonem układu komunikacji radiowej oraz głośnikami samochodowego systemu audio (nie pokazane na rysunku).

Rys. 1. Sygnalizator ostrzegawczy zintegrowany z układem komunikacji i aktywnej redukcji hałasu zainstalowany w pojeździe uprzywilejowanym - rysunek poglądowy.
Dźwięk sygnalizacji ostrzegawczej pojazdu uprzywilejowanego stanowi hałas dla załogi tego pojazdu oraz dla układu komunikacji radiowej (kolor czerwony) i zgodnie z założeniami pracy trzecią z podstawowych funkcji sygnalizatora zintegrowanego będzie aktywna redukcja tego hałasu. Aktywna redukcja hałasu docierająca do załogi pojazdu uprzywilejowanego (w szczególności kierowcy) będzie realizowana z wykorzystaniem lekkich słuchawek aktywnych (kolor niebieski). Aktywna redukcja hałasu docierającego do układu komunikacji radiowej będzie realizowana na zasadzie cyfrowej filtracji sygnałów elektrycznych we wnętrzu sygnalizatora zintegrowanego (nie widoczne na rysunku).
Uwzględniając przedstawione powyżej założenia dotyczące funkcji jakie powinien spełniać zintegrowany sygnalizator ostrzegawczy opracowano podstawowy schemat blokowy opracowywanego urządzenia przedstawiony na Rys.2.

Rys. 2. Podstawowy schemat blokowy zintegrowanego sygnalizatora ostrzegawczego.
Bloki tworzące strukturę wewnętrzną sygnalizatora zintegrowanego będą realizowane dwoma sposobami: analogowym i cyfrowym. Bloki, które będą realizowane analogowo to przede wszystkim różnego rodzaju wzmacniacze wzmacniające i dopasowujące sygnały elektroakustyczne, które będą występowały w układzie sygnalizatora. Obok wzmacniaczy w sposób analogowy zrealizowany będzie również blok wspomagania łączności radiowej, zawierający m.in. układy kondycjonujące sygnały wejściowe i wyjściowe układu nadajnika/odbiornika radiowego, układy sterowania trybem pracy (nadawani/odbiór) itp. 
Do bloków sygnalizatora zintegrowanego, które będą realizowane w postaci cyfrowej należą blok generatora sygnału ostrzegawczego oraz trzy bloki filtrów adaptacyjnych będących podstawowymi elementami układów aktywnej redukcji hałasu. Spośród tych filtrów dwa będą miały identyczną strukturę i będą sterowały aktywną redukcją hałasu w poszczególnych czaszach słuchawek aktywnych (badania prowadzone w ramach innych prac wykazały [9, 15, 16], że układ aktywnej redukcji w każdej z czasz powinien być sterowany niezależnie, gdyż różnice fazowe sygnału hałasu docierającego do każdego z uszu są znaczne). Inną strukturę będzie maił filtr sterujący aktywną redukcją hałasu w torze komunikacji radiowej. Realizacja tych bloków w postaci cyfrowej oznacza, że będą one odpowiednimi, wydzielonymi fragmentami kodu oprogramowania realizowanego za pomocą wybranego procesora sygnałowego.
Blok generatora sygnału ostrzegawczego ma za zadanie generowanie zadanych sygnałów ostrzegawczych. Przyjęto, że będzie on umożliwiał generowanie sygnałów powszechnie stosowanych w sygnalizacji akustycznej pojazdów uprzywilejowanych (czyli sygnałów typu „Le-On”, „Wilk” i „Pies”) oraz specjalnie opracowanych sygnałów.
Sygnały, które mają być zaimplementowane w bloku generatora można podzielić na dwa rodzaje ze względu na sposób realizacji: sygnały postaci pojedynczego tonu o zmieniającej się płynnie lub skokowo częstotliwości (Rys.3a) oraz sygnały będące sumą dwóch tonów o ustalonych częstotliwościach lecz zmieniającej się w określony sposób amplitudzie (sygnały nowo opracowane - Rys.3b).

Rys. 3. Podział sygnałów ostrzegawczych ze względu na sposób realizacji.
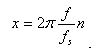
Podstawę realizacji każdego z sygnałów niezależnie od jego rodzaju stanowi generator przebiegu sinusoidalnego. Przebieg sinusoidalny przy pomocy technik cyfrowych może być generowany na dwa sposoby. Pierwszym sposobem jest wyliczanie wartości funkcji sin(x) na z wykorzystaniem rozwinięcia tej funkcji w szereg Taylora. Wartość sin(x) będzie wtedy obliczana zgodnie z wyrażeniem:
(1)
gdzie:
(2)
n = 1,2,... - kolejne próbki sygnału,

f - częstotliwość sygnału,

fs - częstotliwość próbkowania.
Na takim sposobie obliczania wartości funkcji sinus opierają się standardowe funkcje matematyczne umieszczane w bibliotekach języków wysokiego poziomu, w tym C++, w którym możliwe jest pisanie oprogramowania dla procesorów sygnałowych. Zależność ta umożliwia wyliczenie wartości funkcji sinus z dużą dokładnością (szczególnie dla większej ilości składników rozwinięcia), jednak wymaga dość dużej ilości obliczeń. Zakładane przebiegi czasowe sygnałów ostrzegawczych uzyskujemy zmieniając w zadany sposób częstotliwość f sygnału dla kolejnych próbek generowanego sygnału.
Drugim sposobem generowania przebiegów sinusoidalnych jest umieszczenie w buforze cyklicznym (w komórkach pamięci tworzących ten bufor) wyliczonych z dużą dokładnością wartości funkcji sin(x) dla jednego okresu tej funkcji, jak pokazano na Rys.4.

Rys. 4. Generowanie przebiegów sinusoidalnych z wykorzystaniem bufora cyklicznego.
Bufor cykliczny jest tworem wirtualnym złożonym z określonej ilości komórek pamięci. Program wykonujący działania na tych próbkach (np. odczytujący je) po dojściu do ostatniej komórki zostaje w sposób automatyczny przeniesiony ponownie do pierwszej komórki. Ciągłe odczytywanie wartości funkcji sin(x) zapisanych w buforze cyklicznym pozwoli na generowanie przebiegu sinusoidalnego o częstotliwości zależnej od częstotliwości próbkowania i długości bufora. Jednym z elementów mającym wpływ na działanie bufora cyklicznego jest rejestr (na rysunku został opisany jako rejestr przesunięcia) określający, który z elementów bufora względem obecnego będzie przetwarzany jako następny w kolejności np. jeżeli w chwili początkowej przetwarzany jest element a1 a zawartość rejestru M = 3 (Rys.4 u dołu) to w chwili następnej przetwarzany będzie element a4 (czyli odległy o 3 elementy). Zwiększenie wartości rejestru przesunięcia powoduje zwiększenie częstotliwości generowanego sygnału (przy ustalonej częstotliwości próbkowania). Zmieniając zatem w określony sposób zawartość rejestru przesunięcia możemy uzyskać zakładane przebiegi czasowe sygnałów ostrzegawczych.
Metoda wykorzystująca bufor cykliczny jest bardzo szybka – w trakcie generowania przebiegu sinusoidalnego nie są wykonywane żadne obliczenia a jedynie odczytywanie określonych komórek pamięci. Zawartość bufora cyklicznego – spróbkowane wartości funkcji sin(x) - mogą zostać wygenerowane przy pierwszym uruchomieniu układu i zapisane np. w pamięci nieulotnej (Flasch, EPROM). Dzięki temu przy kolejnym uruchomieniu układu nie trzeba ich ponownie generować. Ponadto poprzez zastosowanie różnych par rejestrów procesora te same próbki mogą tworzyć kilka niezależnych buforów cyklicznych (umieszczonych w tym samym miejscu pamięci). Możliwe jest zatem sygnałów dwutonalnych przy użyciu tego samego zestawu próbek. Długość bufora cyklicznego powinna być tak dobrana, aby pozwalała na wygenerowanie najniższego z tonów, które ma pojawić się w sygnale ostrzegawczym.
Aby określić strukturę i pożądane parametry bloków filtrów adaptacyjnych stanowiących podstawowe elementy układów aktywnej redukcji hałasu należy w pierwszej kolejności przyjrzeć się blokowemu schematowi transmitancyjnemu układów aktywnej redukcji hałasu docierającego do kierowcy pojazdu uprzywilejowanego i do układu komunikacji radiowej pokazanego na Rys.5. Schemat ten obejmuje trzy niezależne (pod względem sterowania) układy aktywnej redukcji hałasu – jeden dla toru komunikacji radiowej i dwa dla słuchawek aktywnych (po jednym dla każdej czaszy słuchawek). Wszystkie trzy układy mają pewną transmitancyjną część wspólną, obejmującą: sygnał ostrzegawczy x(n) pochodzący z generatora (w formie cyfrowej), transmitancję przetwornika elektroakustycznego HSyr(z) (obejmującego również transmitancję wzmacniacza) oraz ostrzegawczy sygnał akustyczny x’(n) (propagujący się w powietrzu).

Rys. 5. Blokowy schemat transmitancyjny układów aktywnej redukcji hałasu.
Blokowy schemat transmitancyjny pojedynczego układu aktywnej redukcji hałasu docierającego do kierowcy pojazdu uprzywilejowanego pokazany został na Rys.6. Oba układy aktywnej redukcji hałasu wykorzystujące poszczególne czasze słuchawek aktywnych będą identyczne w strukturze jednak różne będą występujące w nich transmitancje. W układzie tym występują następujące transmitancje:

    • P1(z) – transmitancja kanału akustycznego sygnału ostrzegawczego od przetwornika elektroakustycznego do pierwszej czaszy słuchawek aktywnych,
    • HA1(z) – transmitancja przetwornika elektroakustycznego (głośniczka) pierwszej czasy słuchawek aktywnych
    • PE1(z) – transmitancja ścieżki błędu – transmitancja kanału akustycznego od punktu sumowania fal akustycznych do mikrofonu sygnału błędu (z uwzględnieniem transmitancji mikrofonu)
    • F1(z) – transmitancja filtru adaptacyjnego sterującego procesem aktywnej redukcji.



Rys. 6. Blokowy schemat transmitacyjny układu aktywnej redukcji hałasu docierającego do kierowcy pojazdu uprzywilejowanego (z uwzględnieniem elementów algorytmu adaptacji).
W procesie sterowania dąży się do tego aby sygnał błędu e1(n) był równy zeru. Dla takiego warunku transmitancja filtru adaptacyjnego powinna spełniać warunek:
(3)
Widoczny na Rys. 14 transmitancja Hx(z) jest elementem algorytmu adaptacji opisana jest zależnością:
(4)
Przyjęto, że w układach aktywnej redukcji hałasu docierającego do uszu kierowcy pojazdu uprzywilejowanego wykorzystywane będą dwa rodzaje filtrów adaptacyjnych: filtr FIR o strukturze transwersalnej (Rys.7) i filtr wycinający typu NOTCH (Rys. 8). Filtr typu FIR będzie stosowany dla każdego rodzaju sygnału ostrzegawczego natomiast filtr wycinający NOTCH będzie zastosowany i przebadany również dla nowo opracowanych sygnałów ostrzegawczych.
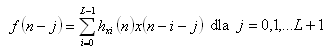
Filtr typu FIR jest filtrem, którego sygnał wyjściowy y(n) ma postać:
(5)
gdzie:
(6)
jest wektorem współczynników filtru a:
(7)
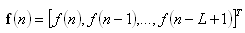
jest wektorem próbek sygnału wejściowego.

Rys. 7. Adaptacyjny filtr FIR o strukturze transwersalnej.
Do adaptowania współczynników filtru FIR zostanie zastosowany algorytm najmniejszych średnich kwadratów (Least Mean Squares – LMS) w różnych odmianach. Aktualizacja wag filtru adaptacyjnego zgodnie z podstawową formą algorytmu LMS[6, 10, 11, 13, 14] odbywa się według zależności:
(8)
Aby algorytm adaptacji był zbieżny współczynnik adaptacji μ powinien spełniać zależność:
(9)
gdzie L jest liczbą współczynników filtru a Px mocą sygnału odniesienia x.
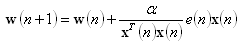
Współczynnik adaptacji μ wpływa na stabilność procesu adaptacji współczynników filtru FIR jak również na szybkość tego procesu. Aby adaptacja współczynników filtru była jak najszybsza, współczynnik μ powinien być jak największy. Z drugiej jednak strony jeżeli będzie on zbyt duży w stosunku do aktualnej mocy sygnału odniesienia, układ przestanie być stabilny. Jedną z możliwości zapewnienia jak największej szybkości adaptacji przy jednoczesnym zachowaniu stabilności jest zastosowanie znormalizowanego algorytmu LMS. W algorytmie NLMS (ang. Normalized LMS) współczynniki filtru FIR są aktualizowane zgodnie z zależnością:
(10)
gdzie:
(11)
gdzie jest estymatą mocy sygnału x(n) w chwili n a α jest znormalizowanym współczynnikiem adaptacji spełniającym zależność:
(12)
Wzór (11) określający wartość współczynnika adaptacji można sprowadzić do postaci [11, 13]:
(13)
Ostatecznie wzór opisujący uaktualnianie współczynników filtru przy zastosowaniu algorytmu NLMS ma postać:
(14)
Algorytm NLMS jako zapełniający dużą szybkość adaptacji współczynników filtru będzie zastosowany w modelu sygnalizatora zintegrowanego jako podstawowy algorytm adaptacji filtrów sterujących procesem aktywnej redukcji hałasu.
Algorytmy LMS i NLMS zostały opracowane dla układu filtra adaptacyjnego FIR pokazanego na Rys.7, w którym sygnał wyjściowy filtru adaptacyjnego y(n) dociera bezpośrednio do węzła sumacyjnego z sygnałem kompensowanym d(n) a sygnał błędu e(n) będący wynikiem działania układu jest bezpośrednio dostępny dla algorytmu adaptacji. W procesie adaptacji współczynników filtru w rzeczywistym układzie aktywnej redukcji, którego schemat pokazany został na Rys.6 uwzględnić należy uwzględnić transmitancję przetwornika elektroakustycznego HA1(z) oraz transmitancję tzw. ścieżki błędu czyli kanału akustycznego pomiędzy węzłem sumacyjnym a miejscem pomiaru sygnału błędu wraz z transmitancją detektora (mikrofonu) sygnału błędu PE1(z). Dla takich układów zastosowanie znajduje algorytm FXLMS (ang. Filtered-X LMS) [10, 13, 14], w którym sygnał odniesienia dla algorytmu adaptacji x(n) filtrowany jest przez transmitancję Hx(z) zawierającą estymaty transmitancji HA1(z) i PE1(z). 
W algorytmie FXLMS współczynniki filtru aktualizowane są zgodnie z zależnością:
(15)
gdzie:
(16)
oraz:
(17)
gdzie jest i-tym współczynnikiem filtru Hx(z).
Często zdarza się, że dla poprawnego działania układu wystarczające jest założenie, że wpływ transmitancji HA1(z) jest pomijalny a transmitancja PE1(z) wprowadza do układu aktywnej redukcji jedynie opóźnienie (nie wpływa na charakterystykę amplitudową widma sygnału). W takim przypadku transmitancja Hx(z) będzie miała charakter linii opóźniającej sygnał x(n) o M próbek.
(18)
gdzie M odpowiada wartości opóźnienia sygnału błędu e(n) w kanale akustycznym sygnału błędu wyrażonym w próbkach sygnału.
Założenie, że Hx(z) stanowi jedynie linie opóźniającą prowadzi do tzw. opóźnionego algorytmu LMS (ang. Delayed LMS – DLMS), będącego szczególnym przypadkiem FXLMS. W algorytmie DLMS wyrażenie (15) zgodnie z którym uaktualniane są współczynniki filtru, upraszcza się do postaci:
(19)
Algorytmy FXLMS i DLMS zostaną zaimplementowane w modelu sygnalizatora zintegrowanego (do adaptacji filtrów w układach aktywnej redukcji hałasu docierającego do uszu kierowcy pojazdu uprzywilejowanego) a następnie przebadane. W przypadku słuchawek aktywnych, w których detektor sygnału błędu w każdej czaszy znajduje się blisko źródła wtórnego opóźnienie sygnału akustycznego w ścieżce błędu nawet dla najwyższych częstotliwości próbkowania będzie rzędu 2-5 próbek. Jeżeli ponadto przetwornik elektroakustyczny i detektor sygnału błędu będą miały płaskie charakterystyki przenoszenia, to może okazać się, że układy z algorytmami FXLMS i DLMS osiągają niewiele lepsze wyniki niż układy z algorytmami LMS i NLMS pomimo większej złożoności obliczeniowej.
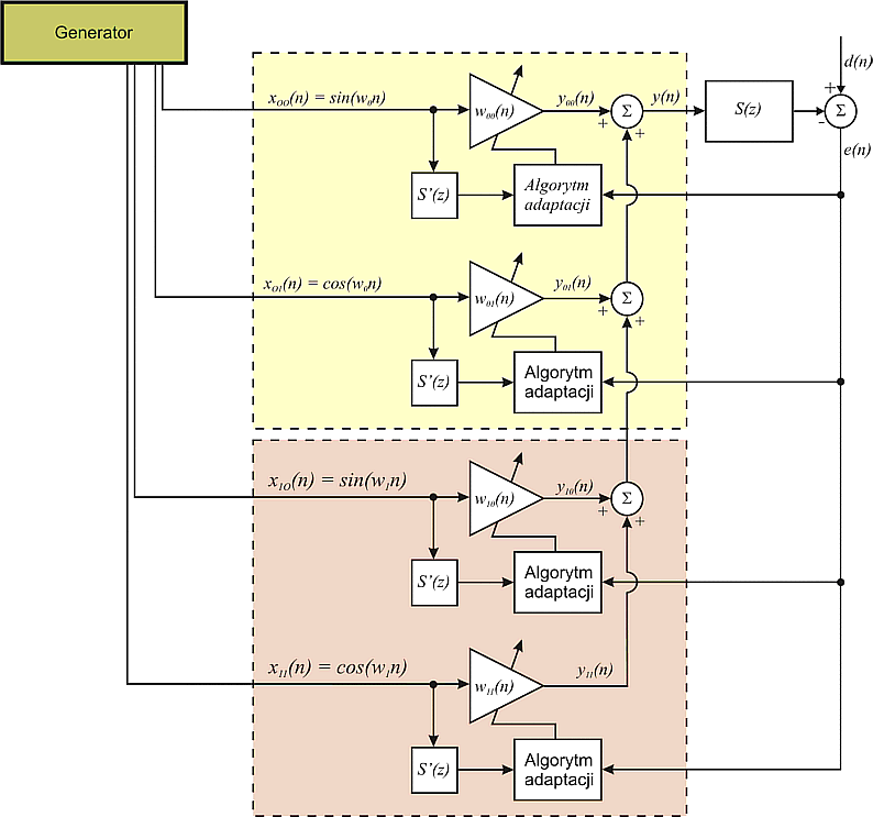
Filtr adaptacyjny typu NOTCH jest filtrem, który umożliwia redukcję hałasów o charakterze tonalnym. Na Rys.8 pokazano strukturę tego typu filtru złożonego z dwóch bloków (oznaczonych oddzielnymi kolorami), z których każdy odpowiada za redukcję jednego tonu występującego w sygnale hałasu. Sygnałami odniesienia dla każdego bloku są dwa sygnały sinusoidalne przesunięte względem siebie o 90° (czyli sin(w0n) i cos(w0n))o pulsacji zgodnej z pulsacją sygnału redukowanego. Sygnał wyjściowy pojedynczego bloku ma postać:
(20)

Rys. 8. Struktura podwójnego adaptacyjnego filtru NOTCH z uwzględnieniem elementów algorytmu adaptacji.
Współczynniki filtru typu NOTCH mogą być adaptowane zgodnie z dowolnym z opisanych w niniejszym rozdziale algorytmów adaptacji np. zgodnie z algorytmem LMS współczynniki pierwszego bloku filtru będą adaptowane zgodnie z zależnością (pomijamy transmitancję ścieżki błędu S(z)):

Filtry typu NOTCH wraz z różnymi algorytmami adaptacji zaimplementowane zostaną w modelu sygnalizatora do redukcji hałasów w postaci specjalnie opracowanych sygnałów ostrzegawczych.
Na Rys.9 przedstawiony został blokowy schemat transmitancyjny układu aktywnej redukcji hałasu w układzie komunikacji radiowej. Przyjęto, że w układzie tym podobnie jak w układach aktywnej redukcji hałasu docierającego do uszu kierowcy pojazdu uprzywilejowanego wykorzystywane będą dwa rodzaje filtrów adaptacyjnych: filtr FIR o strukturze transwersalnej (Rys.7) i filtr wycinający typu NOTCH (Rys. 8). Filtr typu FIR będzie stosowany dla każdego rodzaju sygnału ostrzegawczego natomiast filtr wycinający NOTCH będzie zastosowany i przebadany również dla nowo opracowanych sygnałów ostrzegawczych.

Rys. 9. Blokowy schemat transmitacyjny układu aktywnej redukcji hałasu w torze komunikacji radiowej (z uwzględnieniem elementów algorytmu adaptacji).
Układ przedstawiony na Rys.9 różni się od układów aktywnej redukcji hałasu docierających do uszu kierowcy dwoma zasadniczymi elementami.
Pierwszym z tych elementów jest obecność w układzie dodatkowego sygnału – sygnału mowy. Sygnał błędu układu aktywnej redukcji hałasu będzie w tym przypadku sygnałem mowy sk’(n) odfiltrowanym z sygnału ostrzegawczego. Sygnał mowy nie występuje w sygnale odniesienia filtru adaptacyjnego i algorytmu jego adaptacji oraz nie jest skorelowany z sygnałem ostrzegawczym. Z tego powodu sygnał mowy nie powinien mieć znaczącego wpływu na działanie układu aktywnej redukcji. Należy to jednak potwierdzić w trakcie badań modelu sygnalizatora.
Drugim z elementów różniących ten układ od układów aktywnej redukcji hałasu docierających do uszu kierowcy jest brak przetwornika elektroakustycznego i transmitancji ścieżki błędu - sumowanie sygnałów redukowanego i redukującego następuje na drodze arytmetycznych operacji na spróbkowanych sygnałach. Oznacza to, że do adaptacji filtru sterującego procesem aktywnej redukcji nie mają zastosowania algorytmy FXLMS i DLMS a jednie LMS (w klasycznej postaci) i NLMS. Algorytm NLMS będzie stosowany w układzie aktywnej redukcji hałasu w torze komunikacji radiowej jako podstawowy algorytm adaptacji zarówno dla filtru FIR jak i dla filtru NOTCH.

Data ostatniej modyfikacji: 10.04.2026

Pobierz stronę w wersji PDF