
|
|
Badania aktywności zawodowej pracowników w aspekcie problematyki starzejącego się społeczeństwa
Podstawowe cele badań:
- Określenie rzeczywistych możliwości wykonywania pracy fizycznej przez pracowników starszych.
- Określenie zasad zapobiegania negatywnym skutkom zdrowotnym wykonywania pracy fizycznej w różnych warunkach mikroklimatu.
- Określenie wpływu czynników zawodowych i pozazawodowych na obniżenie się zdolności do pracy.
- Określenie czynników wywołujących stres u pracowników starszych.
- Określenie zasad i metod stymulowania zachowań prozdrowotnych pracowników starszych.
Rzeczywiste możliwości wykonywania pracy fizycznej przez pracowników starszych
Jednym z mierników stanu zdrowia, warunkującym zdolność człowieka do wykonywania wysiłku fizycznego w pracy zawodowej i w życiu codziennym, jest wydolność fizyczna. Wydolność fizyczna określa zdolność organizmu do wykonywania ciężkiej lub długotrwałej pracy fizycznej, angażującej duże grupy mięśni, bez szybko narastającego uczucia zmęczenia i znacznych zmian środowiska wewnętrznego organizmu (zaburzeń homeostazy). Stanowi więc miarę zdolności do dobrej tolerancji wysiłku i szybkiej likwidacji zmian zmęczeniowych po jego zakończeniu.
Poziom wydolności fizycznej nie jest cechą stałą. Jedną z podstawowych cech starzenia się organizmu jest jej obniżanie.
Obok starzenia się, które jest bardzo istotnym czynnikiem zmieniającym wydolność fizyczną, również inne czynniki mają wpływ na jej poziom. Wśród nich bardzo ważne to: stan zdrowia, styl życia, obciążenie i warunki środowiska pracy oraz w ogóle warunki życia.
Ze względu na spodziewane zmiany w systemie zatrudniania pracowników starszych, w tym głównie podwyższenie wieku emerytalnego, bardzo ważne jest określenie wydolności fizycznej, aktywnej zawodowo populacji w Polsce. Dane na ten temat są niezbędne do kształtowania zasad bezpieczeństwa pracy ludzi po 45. roku życia.
Wyniki badań przeprowadzonych wśród aktywnych zawodowo osób w Polsce wykazały, że:
- istotne statystycznie obniżenie się poziomu wydolności fizycznej następuje u mężczyzn w wieku powyżej 50 roku życia, a u kobiet już w wieku powyżej 40 roku życia [2].
- Osoby wykonujące pracę umysłową mają istotnie statystycznie niższą wydolność fizyczną niż osoby wykonujące pracę fizyczną.
- Zaobserwowano jednak, że zmniejszanie się wydolności fizycznej wraz z wiekiem szybciej przebiega u osób wykonujących bardzo ciężką pracę fizyczną, niż wykonujących pracę umysłową lub lekką pracę fizyczną.
- Niepokojące jest, że stosunkowo duży odsetek młodych mężczyzn w wieku 20 – 29 lat ma, zgodnie z przyjętą klasyfikacją Astranda, bardzo małą lub małą wydolność fizyczną – ponad 38% wszystkich badanych w tej grupie wiekowej [2].
- W pozostałych grupach wiekowych, wśród mężczyzn przeważają osoby o wydolności przeciętnej i bardzo dużej.
- U kobiet w każdej grupie wiekowej przeważają osoby o przeciętnej wydolności fizycznej.
Rys. 1. Kategorie ogólnej wydolności fizycznej u kobiet
Rys. 2 Kategorie ogólnej wydolności fizycznej u mężczyzn
Wyniki badań potwierdzają dużą przydatność badania wydolności fizycznej u osób, które po 45. roku życia wykonują ciężką pracę fizyczną.
Określenie możliwości siłowych i sprawnościowych osób starszych
Rozpatrując możliwości wykonywania pracy, w której dominuje obciążenie wysiłkiem fizycznym, istotne jest również określenie możliwości siłowych i sprawnościowych osób starszych.
Wraz z wiekiem zmniejsza się siła mięśniowa (rys.3) [3], co w połączeniu ze zmniejszającą się wydolnością układu krążenia i oddychania istotnie ogranicza możliwości wykonywania ciężkiej pracy fizycznej przez pracowników starszych.
Rys. 3
Osoby w wieku powyżej 45. roku życia mają znacznie mniejsze wartości sił prostujących i zginających stawy, zwłaszcza podczas czynności, w których wykorzystywane są duże grupy mięśniowe (kończyny dolne i tułów).
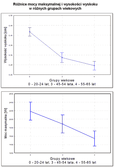
Podobnie w przypadku parametrów dynamicznych, wraz z wiekiem zmniejszeniu ulegają praca i moc podczas wyskoku pionowego (Rys. 4) [4].
Rys 4.
Najmniejsze różnice pomiędzy różnymi grupami wiekowymi dotyczyły dokładności sterowania. Zmniejszenie wraz z wiekiem dokładności sterowania było mniejsze niż w przypadku parametrów statycznych, czy dynamicznych (Rys.5) [5].
Rys. 4.
Na podstawie przeprowadzonych badań sugeruje się, by osoby po 45. roku życia w mniejszym stopniu były angażowane w czynności, które wymagają wykorzystywania dużych grup mięśniowych powodujących duże obciążenie dynamiczne i statyczne, np. ręczny transport ładunków, pchanie, ciągnięcie.
Według badań na temat wpływu procesu starzenia się, na poziom sprawności psychofizycznych niezbędnych dla bezwypadkowego wykonywania zawodów operatorskich stwierdzono, że wraz z wiekiem obniża się istotnie większość spośród badanych funkcji, to jest: koordynacja wzrokowo-ruchowa, szybkość reakcji motorycznej (czas reakcji z wyborem w sytuacji złożonej) oraz widzenie zmierzchowe (w warunkach olśnienia i bez). Zmiany te mają charakter progresywny i rozpoczynają się już około 45. roku życia [6].
Praca fizyczna w środowiskach gorącym i zimnym a wiek
Kolejnym ważnym zagadnieniem jest określenie zasad zapobiegania negatywnym następstwom nadmiernego obciążenia wysiłkiem fizycznym wykonywanym w różnych warunkach termicznych środowiska pracy: w środowisku gorący i zimnym.
Praca fizyczna w środowisku gorącym stanowi jedno z największych obciążeń dla organizmu człowieka.
Zasady organizacji pracy w takich warunkach regulowane są odrębnymi przepisami, w których jednak nie uwzględnia się, wynikających z wieku zmian w tolerancji gorącego środowiska. Wyniki wielu badań, zarówno obiektywnych jak i subiektywnych, wskazują na słabszą tolerancję pracy fizycznej w gorącym środowisku przez osoby po 45. roku życia.
Praca w takich warunkach powoduje większe obciążenie układu sercowo-naczyniowego u osób starszych w porównaniu z osobami młodymi. Tolerancja środowiska gorącego zależy od poziomu wydolności fizycznej [7]. Osoby o wysokiej ogólnej wydolności fizycznej lepiej niż osoby o niskiej wydolności fizycznej tolerują pracę fizyczną w środowisku gorącym. W praktyce zawodowej obserwuje się często pewnego rodzaju selekcję naturalną polegającą na tym, że starsze osoby o długim stażu pracy w środowisku gorącym często mają wysoką wydolność fizyczną w porównaniu do swojego przedziału wiekowego. Osoby te również częściej cechowały się większą aktywnością fizyczną w czasie wolnym, co pozwoliło im na utrzymanie wysokiej wydolności fizycznej, koniecznej do dobrej tolerancji pracy w środowisku gorącym [8].
Osoby badane, zarówno młodsze jak i starsze, były dobrze zaadaptowane do pracy w zimnym mikroklimacie, o czym świadczy ocena subiektywna stanu zdrowia i zdolności do pracy oraz wyniki badań lekarskich i elektrokardiologicznych. Wykazano jednak, że aktywność układu przywspółczulnego w odpowiedzi na stres zimna ulegała obniżeniu, co predysponuje nie tylko do powstania nadciśnienia, lecz także do występowania zaburzeń rytmu serca i rozwoju choroby niedokrwiennej serca.
Stwierdzono, że wrażliwość na zimno jest większa u kobiet niż u mężczyzn. Wskazywał na to wzrost ciśnienia skurczowego po próbie oziębieniowej oraz podwyższone ciśnienie skurczowe w dzień i w nocy u pracujących przez 8 godz. w ekspozycji na niską, ale dodatnią temperaturę (0-10 °C).
Zarówno u mężczyzn jak i u kobiet wykazano zależny od wieku wzrost wrażliwości na zimno. Objawiał się on większym obniżeniem temperatury ciała po ekspozycji na zimno u starszych mężczyzn, a u starszych kobiet – pogłębianiem się spadku temperatury ciała wraz z czasem przebywania w niskiej temperaturze.
Jednakże wyniki tych badań nie dają podstaw do wnioskowania o wprowadzeniu innych warunków pracy w zimnym mikroklimacie dla osób starszych, gdyż stwierdzone różnice w reakcjach fizjologicznych nie świadczą o znacząco gorszej tolerancji pracy przez osoby starsze [9].
Praca zmianowa a wiek
Praca wykonywana w systemie zmianowym stanowi większe obciążenie dla pracowników, ponieważ wymusza niefizjologiczny rytm aktywności, co wpływa na zaburzenia rytmiki okołodobowej wielu czynności życiowych oraz rytmu sen-czuwanie [10].
Szczególnej troski wymagają starsi wiekiem pracownicy wykonujący pracę w systemie zmianowym lub w nocy, zwłaszcza pracujący w zawodach obciążonych dużą odpowiedzialnością za życie innych, efekty ekonomiczne czy też bezpieczeństwo środowiska naturalnego.
Rozwiązaniem organizacyjnym, korzystnym z punktu widzenia zdrowia starszych wiekiem pracowników, jest ograniczenie ich pracy tylko do zmian rannych i popołudniowych, by nie dopuszczać do zaburzeń rytmu sen-czuwanie oraz obniżania się sprawności fizycznej i umysłowej.
Przypuszcza się, że zaburzenia mechanizmów regulacji czasowej odpowiedzialnych za synchronizację rytmów biologicznych, w tym rytmu sen-czuwanie, wynikające z wieku i pracy zmianowej, nocnej zwiększają ryzyko wypadku w pracy, zwłaszcza nocnej.
Przeprowadzone badania zdarzeń wypadkowych, jakie miały miejsce w latach 1997-2002 (dane – statystyczna karta wypadku, n = 5497), wśród poszkodowanych operatorów zatrudnionych w zakładach energetycznych wykazały, że poszkodowani w wieku 40-49 lat stanowili najliczniejszą grupę – 35,3% wszystkich poszkodowanych [11].
_________________________________________________
PIŚMIENNICTWO
1. Ustawa z dnia 28 czerwca 1996 r. o zmianie niektórych ustaw o zaopatrzeniu emerytalnym i o ubezpieczeniu społecznym (DzU nr 100, poz. 461)
2. Ilmarinen J., Aging and Work: the role of ergonomics for maintaining work ability during aging. W: Advances in industrial ergonomics and safety pod redakcją Bittner A., Champney P., Taylor &Francis, 1995
3. Bugajska J., £astowiecka E. Analysis of Total Work Inability in Poland in 2000 and 2001 according to Age, Disease Diagnosis and Occupation, Inter. J. of Occupational Safety and Ergonomics (JOSE), (w druku)
4. Jędryka-Góral A., Bugajska J., £astowiecka E., Michalak J.M., Kochmański M, Najmiec A, 2005, Work activity and ability in ageing patients suffering from chronic cardiovascular diseases, W: Assessment and promotion of work ability, health and well-being of ageing workers, Elsevier, ICS vol. 1280 C, 190-195
5. Szubert Z., Sobala W. Current determinations of early retirement among blue collar workers in Poland. Int J Occup. Med. Environ. Health 2005, 18 (2), 177-184
6. Tuomi K., Ilmarinen J., Jahkola A., Katajarinne L., Tulkki A. Work ability index. Helsinki, Institute of Occupational Health 1994. Occupational health care 19
7. Bugajska J., £astowiecka E. Life style, work environment factors and work ability in different occupations. W: Assessment and promotion of work ability, health and well-being of ageing workers. Costa J., Ilmarinen J. red. Elsevier, International Congress Series, vol. 1280 C, 247-252
8. Makowiec-Dąbrowska T. i in. Zawodowe i pozazawodowe determinanty zdolności do pracy starszych pracowników, Raport końcowy PCZ 21-21, Zadanie 8, 2004. Biblioteka CIOP-PIB
9. Widerszal-Bazyl M. Stres psychospołeczny wśród pracowników starszych, Raport końcowy PCZ 21-21, Zadanie 11, 2004. Biblioteka CIOP-PIB
10. Merecz D., Mościcka A., Drabek M., Koniarek J. Predyktory zdrowia psychicznego i zdolności do pracy pracowników zatrudnionych na stanowiskach wykonawczych. „Medycyna Pracy” 2004, 55(5): 425-433
11. Korzeniowska E. Sposoby myślenia i postępowania w sferze zdrowia starszych pracowników średnich i dużych firm. „Medycyna Pracy” 2004, 55(2): 129-138
Ostatnio udostępnione tematy
w BHP-Info:
- INTERGON - ocena ryzyka rozwoju dolegliwości m-s
- MOBBING w pracy
- BHP pracy platformowej
- Symulatory VR w BHP
- Quady w pracy - narażenie kierowcy na drgania
- Montaż w przemyśle lotniczym
- Osłony w meblarstwie
- Praca zdalna przy komputerze
- Kleszcze i borelioza w pracy
- Praca mobilna
- Warunki Pracy w Polsce i w UE 2018
- Zarządzanie BHP wg normy PN-ISO 45001
- Depresja w pracy
- Konflikty w pracy
- SMOG - Ochrona przed SMOGiem
- Zagrożenie wybuchem i pożarem
- Ochrona radiologiczna w rentgenodiagnostyce
- BHP w inteligentnym środowisku pracy 4.0
- Wypadki w szkole
- Wypadki przy pracy rolniczej
- Diabetyk w pracy
- Ocena drabin - wymagania norm (2017)
- Ergonomia stanowisk komputerowych
- Zarządzanie wiekiem pracowników - wiedza i praktyka
- Profilaktyka przewlekłej niewydolności żylnej nóg
- Bezpieczne przenoszenie ładunków
- BHP - Elektrownie wiatrowe
- BHP w służbach mundurowych
- Odzież ostrzegawcza
- Ochrona przed upadkiem z wysokości
- BHP w energetyce słonecznej
- BHP operatora maszyn ręcznych z napędem elektrycznym