Słowniczek

SŁOWNICZEK
Czas pogłosu (T)
Czas, w sekundach upływający od momentu wyłączenia źródła hałasu, podczas którego poziom ciśnienia akustycznego w pomieszczeniu (pierwotnie w stanie ustalonym) obniży się o 60 dB. Czas pogłosu zależy od częstotliwości. Jest użyteczny przy określeniu właściwości akustycznych pomieszczeń, w których występuje pole dyfuzyjne. Źródło: PN-EN ISO 11690-1:2000
Czasza tłumiąca
Zasadnicza część nauszników mocowana na równoważnej sprężynie dociskowej, zwykle wyposażona w poduszkę uszczelniającą i wykładzinę tłumiącą. Źródło: PN-EN 352-1:2005
Deklaracja emisji hałasu
Informacje dotyczące hałasu emitowanego przez maszynę w postaci wartości emisji hałasu, podawana przez jej wytwórcę lub dostawcę w dokumentacji technicznej lub innej publikacji. Może ona przybierać formę jedno lub dwuliczbową. Źródło: PN-EN ISO 11690-1:2000
Deklarowana jednoliczbowa wartość emisji hałasu (L i K)
Suma mierzonej wartości emisji hałasu i związanej z nią wartości niepewności, zaokrąglona do najbliższego decybela: Ld = L + K; Źródło: PN-EN ISO 11690-1:2000
Dobór ochronników słuchu
Proces wyboru najodpowiedniejszego ochronnika słuchu.
Dzienna ekspozycja na hałas skorygowana charakterystyka częstotliwościowa A (EA,D)
Całkowita dzienna ekspozycja na hałas skorygowana charakterystyką częstotliwościową A utrzymująca się podczas pojedynczego 24-godzinnego dnia, wyrażona w paskalach do kwadratu razy na sekunda (Pa2s). Źródło: PN-ISO 1999:2000
Dźwięk bezpośredni
Dźwięk rozchodzący się bezpośrednio że źródła do punktu obserwacji. Nie uwzględnia dźwięków odbitych w pomieszczeniu, w którym jest zlokalizowane źródło. Źródło: PN-EN ISO 11690-1:2000
Dźwięk odbity
Dźwięk w pomieszczeniu, będący wynikiem odbić, w jakimkolwiek punkcie, od powierzchni pomieszczenia oraz wyposażenia. Nie uwzględnia dźwięku bezpośredniego. Źródło: PN-EN ISO 11690-1:2000
Efektywne tłumienie
Efektywne tłumienie jest to miara ochrony, którą umożliwia ochronnik słuchu. Źródło: PN-EN 458:2016-06
Ekspozycja osoby na hałas
Całkowity hałas dochodzący, w określonym czasie T do ucha pracownika w aktualnie istniejącej sytuacji. Źródło: PN-EN ISO 11690-1:2000
Ekspozycja na hałas skorygowana charakterystyką częstotliwościową
A (EA,T)
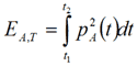
Całka po czasie kwadratu ciśnienia akustycznego skorygowanego charakterystyką częstotliwościową A w określonym przedziale czasu, T lub zdarzenia , wyrażona w paskalach do kwadratu razy sekunda ( Pa2s). Ekspozycja na hałas skorygowana charakterystyką częstotliwościową A jest odkreślona równaniem:
Czas, w sekundach upływający od momentu wyłączenia źródła hałasu, podczas którego poziom ciśnienia akustycznego w pomieszczeniu (pierwotnie w stanie ustalonym) obniży się o 60 dB. Czas pogłosu zależy od częstotliwości. Jest użyteczny przy określeniu właściwości akustycznych pomieszczeń, w których występuje pole dyfuzyjne. Źródło: PN-EN ISO 11690-1:2000
Czasza tłumiąca
Zasadnicza część nauszników mocowana na równoważnej sprężynie dociskowej, zwykle wyposażona w poduszkę uszczelniającą i wykładzinę tłumiącą. Źródło: PN-EN 352-1:2005
Deklaracja emisji hałasu
Informacje dotyczące hałasu emitowanego przez maszynę w postaci wartości emisji hałasu, podawana przez jej wytwórcę lub dostawcę w dokumentacji technicznej lub innej publikacji. Może ona przybierać formę jedno lub dwuliczbową. Źródło: PN-EN ISO 11690-1:2000
Deklarowana jednoliczbowa wartość emisji hałasu (L i K)
Suma mierzonej wartości emisji hałasu i związanej z nią wartości niepewności, zaokrąglona do najbliższego decybela: Ld = L + K; Źródło: PN-EN ISO 11690-1:2000
Dobór ochronników słuchu
Proces wyboru najodpowiedniejszego ochronnika słuchu.
Dzienna ekspozycja na hałas skorygowana charakterystyka częstotliwościowa A (EA,D)
Całkowita dzienna ekspozycja na hałas skorygowana charakterystyką częstotliwościową A utrzymująca się podczas pojedynczego 24-godzinnego dnia, wyrażona w paskalach do kwadratu razy na sekunda (Pa2s). Źródło: PN-ISO 1999:2000
Dźwięk bezpośredni
Dźwięk rozchodzący się bezpośrednio że źródła do punktu obserwacji. Nie uwzględnia dźwięków odbitych w pomieszczeniu, w którym jest zlokalizowane źródło. Źródło: PN-EN ISO 11690-1:2000
Dźwięk odbity
Dźwięk w pomieszczeniu, będący wynikiem odbić, w jakimkolwiek punkcie, od powierzchni pomieszczenia oraz wyposażenia. Nie uwzględnia dźwięku bezpośredniego. Źródło: PN-EN ISO 11690-1:2000
Efektywne tłumienie
Efektywne tłumienie jest to miara ochrony, którą umożliwia ochronnik słuchu. Źródło: PN-EN 458:2016-06
Ekspozycja osoby na hałas
Całkowity hałas dochodzący, w określonym czasie T do ucha pracownika w aktualnie istniejącej sytuacji. Źródło: PN-EN ISO 11690-1:2000
Ekspozycja na hałas skorygowana charakterystyką częstotliwościową
A (EA,T)
Całka po czasie kwadratu ciśnienia akustycznego skorygowanego charakterystyką częstotliwościową A w określonym przedziale czasu, T lub zdarzenia , wyrażona w paskalach do kwadratu razy sekunda ( Pa2s). Ekspozycja na hałas skorygowana charakterystyką częstotliwościową A jest odkreślona równaniem:

w którym pA(t) jest chwilowa wartością ciśnienia akustycznego skorygowanego charakterystyka częstotliwościową A sygnału akustycznego scałkowanego w przedziale czasu T, zaczynającym się w chwili t1 i kończącym się w chwili t2. Czas, T, mierzony w sekundach, jest zwykle wybierany tak, aby odpowiadał całkowitej dziennej ekspozycji na hałas (zwykle 8h, 28 800 s) lub dłuższemu okresowi, który ma być określony, np. tygodniowi pracy. Źródło: PN-ISO 1999:2000
Elektroniczny układ odtwarzania dźwięku
Urządzenie elektroakustyczne przeznaczone do odtwarzania w kanale usznym dźwięków zewnętrznych o niższych poziomach, zwykle przy zapewnieniu tłumienia dźwięków o wyższych poziomach za pośrednictwem funkcji regulacji wzmocnienia.
Emisja hałasu
Dźwięki powietrzne wypromieniowane przez dokładnie określone źródło hałasu (maszynę lub urządzenie). Źródło: PN-EN ISO 11690-1:2000
Grupy szczególnego ryzyka
Pracownicy, którzy na podstawie przepisów prawa pracy podlegają szczególnej ochronie zdrowia, w szczególności kobiety w ciąży oraz młodociani. Źródło: Dz. U. 2005 nr 157 poz. 1318
Hałas
Każdy niepożądany dźwięk, który może być uciążliwy albo szkodliwy dla zdrowia lub zwiększać ryzyko wypadku przy pracy. Źródło: Dz. U. 2005 nr 157 poz. 1318
Hałas impulsowy
Nagła zmiana ciśnienia akustycznego, może mieć postać pojedynczego zdarzenia lub serii impulsów przedzielonych przerwami. Źródło: PN-EN 458:2016 -06
Imisja hałasu w miejscu pracy
Wszystkie hałasy, które w określonym czasie T, pojawiają się w punkcie pomiarowym (w miejscu pracy) w aktualnie istniejącej sytuacji, niezależnie od tego, czy pracownik jest obecny na stanowisku, czy też nie jest obecny; np. hałas pochodzący z maszyny, hałas pochodzący z innych źródeł dźwięku oraz hałas odbity od stropu, ścian i jakichkolwiek innych przeszkód. Źródło: PN-EN ISO 11690-1:2000
Najwyższe dopuszczalne natężenie (NDN)
Dopuszczalne wartości wielkości charakteryzujących hałas lub drgania mechaniczne, określone w przepisach w sprawie najwyższych dopuszczalnych stężeń i natężeń czynników szkodliwych dla zdrowia w środowisku pracy, a dla kobiet w ciąży oraz młodocianych odpowiednio w przepisach w sprawie prac szczególnie uciążliwych lub szkodliwych dla zdrowia kobiet oraz w przepisach w sprawie prac wzbronionych młodocianym i warunków ich zatrudniania przy niektórych z tych prac. Źródło: Dz. U. 2005 nr 157 poz. 1318
Najwyższe dopuszczalne natężenie fizycznego czynnika szkodliwego dla zdrowia - wartość średnia natężenia, którego oddziaływanie na pracownika w ciągu 8-godzinnego dobowego i przeciętnego tygodniowego wymiaru czasu pracy, określonego w Kodeksie pracy, przez okres jego aktywności zawodowej nie powinno spowodować ujemnych zmian w jego stanie zdrowia oraz w stanie zdrowia jego przyszłych pokoleń. Źródło:Dz. U. 2017 poz. 1348
Narażenie indywidualne
Rzeczywisty poziom narażenia pracownika na hałas lub drgania mechaniczne, po uwzględnieniu tłumienia uzyskanego w wyniku stosowania środków ochrony indywidualnej. Źródło: Dz. U. 2005 nr 157 poz. 1318
Nauszniki przeciwhałasowe
Ochronnik słuchu składający się z dwóch czasz tłumiących dociskanych do małżowin usznych albo do głowy, całkowicie zakrywający małżowiny uszne; czasze mogą być dociskane do głowy za pomocą sprężyny dociskowej lub specjalnego urządzenia przymocowanego do hełmu ochronnego lub do innego sprzętu. Źródło: PN-EN 352-1:2005
Nauszniki przeciwhałasowe o regulowanym tłumieniu
Nauszniki przeciwhałasowe z elektronicznym układem odtwarzania dźwięku.
Nauszniki przeciwhałasowe ze sprężyną dociskową na szczycie głowy
Nauszniki przeciwhałasowe zaprojektowane tak, aby sprężyna dociskowa była noszona na szczycie głowy. Źródło: PN-EN 352-1:2005
Niepewność (K)
Wartość liczbowa niepewności pomiaru związana z mierzoną wartością emisji hałasu. Źródło: PN-EN ISO 11690-1:2000
Poduszka uszczelniająca
Część odkształcalna, zazwyczaj zawierająca piankę plastyczną lub ciekły wypełniacz, dopasowana do obrzeża czaszy w celu zwiększenia komfortu i dopasowania nauszników przeciwhałasowych do głowy. Źródło: PN-EN 352-1:2005, PN-EN 352-3:2005
Poziom ciśnienia akustycznego (Lp)
Dziesięć logarytmów przy podstawie 10, iloraz kwadratu ciśnienia akustycznego (p, w paskalach ) i kwadratu ciśnienia akustycznego odniesienia (p0=20μPa).
Źródło: PN-ISO 1999:2000
Poziom ciśnienia akustycznego skorygowany charakterystyką częstotliwościową A (LpA)
Poziom ciśnienia akustycznego, w decybelach, wyznaczony przy zastosowaniu charakterystyki częstotliwościowej A (patrz norma IEC 651), na podstawie wzoru:
w którym pA jest ciśnieniem akustycznym skorygowanym charakterystyką częstotliwościową A w paskalach. Źródło: PN-ISO 1999:2000
Poziom ekspozycji na hałas odniesiony do 8-godzinnego dnia pracy (LEX, 8h)
Poziom, w decybelach, określony równaniem:
w którym:
Te - efektywny czas pracy
T0 - czas odniesienia (=8h).
Jeżeli efektywny czas dnia pracy nie przekracza 8h, to LEX,8h jest liczbowo równy LAeq,8h. Źródło: PN-ISO 1999:2000
Poziom mocy akustycznej (LW)
Dziesięć logarytmów przy podstawie 10, ilorazu mocy akustycznej (P, w watach wypromieniowanej przez badane źródło dźwięku i mocy akustycznej odniesienia (P0 = 1 pW). Jest wyrażony w decybelach i opisuje emisję dźwięku z jego źródła. Źródło: PN-EN ISO 11690-1:2000
Półsprężyna
Element, wykonany na ogół z metalu lub tworzywa sztucznego, mocowany do skorupy hełmu ochronnego, zaprojektowany w celu bezpiecznego dociśnięcia czaszy do głowy wokół ucha w wyniku wywierania ciśnienia poprzez poduszkę uszczelniającą; półspężyna zawiera również elementy łączące je ze skorupą hełmu ochronnego. Źródło: PN-EN 352-3:2005
Równoważna powierzchnia pochłaniająca (A)
Powierzchnia, w metrach kwadratowych, otrzymana jako wynik sumowania składników aiSi. A = a1S1 + a2S2 + .... = aS gdzie ai współczynnik pochłaniania powierzchni cząstkowej pomieszczenia Si; S całkowita powierzchnia pomieszczenia (=ΣSi); a średni współczynnik pochłaniania pomieszczenia Źródło: PN-EN ISO 11690-1:2000
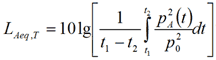
Równoważny poziom ciśnienia akustycznego skorygowany charakterystyką częstotliwościowa A (LAeq,T)
Poziom , w decybelach określony wzorem:

gdzie t2-t1, jest przedziałem czasu, T, w którym wyznaczana jest wartość średnia , zaczynająca się w chwili t1, i kończącym się w chwili t2. Źródło: PN-ISO 1999:2000
Spadek poziomu ciśnienia akustycznego w przestrzeni z podwojeniem odległości (DL2)
Wartość, w decybelach, o którą obniża się poziom ciśnienia akustycznego w danym zakresie odległości od źródła przy jej podwojeniu. Źródło: PN-EN ISO 11690-1:2000
Sprężyna dociskowa
Element - na ogół z metalu lub tworzywa sztucznego - zaprojektowany w celu zapewnienia bezpiecznego mocowania nauszników wokół uszu, przez wywieranie siły na czasze tłumiące i ciśnienia poprzez poduszki uszczelniające. Źródło: PN-EN 352-1:2005
Tłumienie dźwięku
Średnia różnica, w decybelach, dla danego sygnału testowego, między progiem słyszenia grupy słuchaczy biorących udział w badaniu z założonym ochronnikiem słuchu i bez niego. Źródło: PN-EN 352-1:2005, PN-EN 352-2:2005, PN-EN 352-3:2005, PN-EN 458:2016-06
Tłumienie wtrącenia
Średnia algebraiczna różnica w decybelach, między poziomem ciśnienia akustycznego w tercjowym paśmie częstotliwości - mierzonym mikrofonem testera (ATF) w odpowiednim polu akustycznym i w określonych warunkach, przy braku ochronnika słuchu - a poziomem ciśnienia akustycznego przy założonym ochronniku słuchu, z zachowaniem pozostałych warunków. Źródło: PN-EN 352-1:2005
Tłumienie wtrącenia (Di)
Różnica poziomu mocy akustycznej lub poziomu ciśnienia akustycznego emisji danego źródła hałasu z zastosowaniem ustroju tłumiącego lub bez niego. Di zależy od częstotliwości i jest wyrażone w decybelach. Tłumienie wtrącenia skorygowane charakterystyką częstotliwościowa A odnosi się do danego źródła hałasu. Źródło: PN-EN ISO 11690-1:2000
Uszkodzenie słuchu
Odchylenie od normy lub zmiana na gorsze progu słyszenia względem słuchu normalnego. Źródło: PN-ISO 1999:2000
Użytkowanie ochronnika słuchu
Codzienne stosowanie ochronnika słuchu przez jego użytkownika. Źródło: PN-EN 458:2016-06
Wartości progów działania
Wartości wielkości charakteryzujących hałas i drgania mechaniczne w środowisku pracy (bez uwzględniania skutków stosowania środków ochrony indywidualnej), określone w załączniku do rozporządzenia. Źródło: Dz. U. 2005 nr 157 poz. 1318
Warunki pola dyfuzyjnego
Rozchodzenie się dźwięku w pomieszczeniu lub jego części, gdy dźwięk jest odbijany często i w sposób równomierny od wszystkich powierzchni pomieszczenia oraz wyposażenia, w taki sposób, że poziom ciśnienia akustycznego osiąga jednakową wartość w każdym punkcie rozważanej przestrzeni. Źródło: PN-EN ISO 11690-1:2000
Warunki pola niedyfuzyjnego
Nierównomiernie we wszystkich kierunkach rozchodzenie się dźwięku w pomieszczeniu lub jego części. Ma miejsce w przypadku gdy:
- stosunek jakichkolwiek dwóch wymiarów z trzech jest większy od liczby trzy , lub
- pochłanianie dźwięku przez powierzchnię pomieszczenia jest w wysokim stopniu nierównomiernie (np. betonowe ściany) lub
- pochłanianie dźwięku jest bardzo duże.
Wkładki przeciwhałasowe
Ochronnik słuchu noszony w zewnętrznym przewodzie słuchowym albo w małżowinie usznej, zamykający wejście do zewnętrznego przewodu słuchowego. Źródło: PN-EN 352-2:2005
Wskaźnik redukcji dźwięku (R)
Wielkość określająca tłumienie przenoszenia, definiowana jako dziesięć logarytmów przy podstawie 10 ilorazu mocy akustycznej padającej na badany ustrój tłumiący i mocy akustycznej przenoszonej przez ten ustrój. Jest wyrażony w decybelach i zależy od częstotliwości. Źródło: PN-EN ISO 11690-1:2000
Współczynnik pochłaniania dźwięku (α)
Część energii akustycznej pochłoniętej wtedy, gdy fale dźwiękowe padają na powierzchnię. Zależy od częstotliwości. Źródło: PN-EN ISO 11690-1:2000