
Dźwięk
Dźwięki to drgania cząstek powietrza (lub innego ośrodka sprężystego) względem położenia równowagi. Drgania te propagują się w powietrzu w postaci fal akustycznych, czyli następujących po sobie lokalnych zagęszczeń i rozrzedzeń cząstek powietrza. Prędkość z jaką rozprzestrzeniają się drgania cząsteczek powietrza nazywana jest prędkością dźwięku i wynosi ona ok. 340m/s. Przestrzeń, w której rozchodzą się fale akustyczne nazywana jest polem akustycznym. Źródłami, które wprawiają cząsteczki powietrza w drgania (czyli źródłami dźwięku) mogą być różnego rodzaju drgające obiekty, elementy maszyn, przepływ powietrza (np. jak w gwizdku), uderzenia. Zjawisko powstawania i rozprzestrzeniania się dźwięku pokazano schematycznie na Rys. 1.
Rys. 1. Powstawanie i rozprzestrzenianie się dźwięku.
Dźwięki mogą rozprzestrzeniać się nie tylko w powietrzu ale również w innych ciałach sprężystych, np. w stali, betonie itp. Dźwięki rozchodzące się w powietrzu nazywa się dźwiękami powietrznymi a dźwięki rozchodzące się w materiałach stałych dźwiękami materiałowymi.
Częstotliwość
Częstotliwość, oznaczana symbolem "f" jest jednym z dwóch podstawowych parametrów opisujących dźwięk, określająca liczbę okresów drgań, jakie wykonują cząsteczki powietrza w jednostce czasu. Jednostką częstotliwości jest Hertz [Hz].
Ucho ludzkie jest w stanie odbierać dźwięki o częstotliwościach od 20 Hz do 20 kHz (1 kHz = 1000 Hz). Dźwięki takie nazywamy dźwiękami słyszalnymi. Niesłyszalne dla człowieka dźwięki o częstotliwościach poniżej 20 Hz nazywamy infradźwiękami a dźwięki o częstotliwościach powyżej 20 kHz nazywamy ultradźwiękami (Rys. 2). Używając pojęcia "hałas" mamy na myśli dźwięki słyszalne (obok pojęcia "hałas" funkcjonują również pojęcia "hałasu infradźwiękowego" i "hałasu ultradźwiękowego").
Rys. 2. Częstotliwości dźwięków.
Dźwięki słyszalne możemy podzielić na nisko- średnio- i wysokoczęstotliwościowe, jednak granice tych podziałów są płynne. Dźwięki o niskich częstotliwościach odbierane są przez człowieka jako dźwięki basowe a dźwięki o wysokich częstotliwościach jako soprany.
Ciśnienie akustyczne
Zagęszczenia i rozrzedzenia cząstek powietrza będące wynikiem propagowania się dźwięku wywołują niewielkie zmiany ciśnienia w tych obszarach powietrza. W miejscach, w których cząsteczki powietrza są zagęszczone (Rys. 3), ciśnienie powietrza jest nieco wyższe niż ciśnienie atmosferyczne, natomiast w miejscach gdzie są one rozrzedzone ciśnienie jest niższe niż atmosferyczne. Te niewielkie zmiany ciśnienie nazywamy ciśnieniem akustycznym oznaczanym symbolem "p". Jednostką miary ciśnienia akustycznego jest Pascal [Pa]. Im większa jest amplituda drgań źródła dźwięku i zarazem cząsteczek powietrza, tym większe jest ciśnienie akustyczne. Dźwięki o większym ciśnieniu akustycznym odbierane są przez człowieka jako głośniejsze, na przykład: szept - 0,0003 Pa, odkurzacz - 0,05 Pa, młot pneumatyczny - 10 Pa
Rys. 3. Ciśnienie akustyczne.
Najcichszy dźwięk jaki jest w stanie usłyszeć człowiek o zdrowym słuchu wynosi około 0,00002 Pa czyli 20 μPa. Dźwięki powyżej 20 Pa wywołują już ból uszu.
Poziom ciśnienia akustycznego
Ciśnienia akustyczne najcichszych i najgłośniejszych dźwięków odbieranych przez człowieka różnią się ponad milion razy. Z tego powodu w praktyce stosuje się skalę logarytmiczną i operuje się pojęciem poziomu ciśnienia akustycznego, wyrażonego w decybelach [dB], jako wartości względnej odniesionej do 20 μPa. Poziom ciśnienia akustycznego dźwięku L o ciśnieniu p wyznacza się na podstawie zależności:

gdzie p0 jest ciśnieniem odniesienia.
Wartość ciśnienia odniesienia przyjęto równą 20 μPa czyli ciśnieniu najsłabszych dźwięków jakiej jest w stanie usłyszeć człowiek. W praktyce oznacza to, że dźwięk o ciśnieniu 20 μPa ma poziom ciśnienie akustycznego równy 0 dB, a np. dźwięk o ciśnieniu 2 Pa ma poziom równy 100 dB. Przykładowe wartości ciśnienia akustycznego i odpowiadające im poziomy pokazano na Rys. 4.

Rys. 4. Ciśnienia akustyczne i odpowiadające im poziomy ciśnienia akustycznego różnych dźwięków.
Prowadząc obliczenia dotyczące hałasu, należy pamiętać, że poziom ciśnienia akustycznego jest miarą logarytmiczną. Jeżeli umieścimy obok siebie dwa źródła hałasu, z których każde wytwarza hałas o poziomie ciśnienia akustycznego 80dB, to w wyniku sumowania powstanie hałas o poziomie 83dB, a nie 160dB!
Skorygowane poziomy ciśnienia akustycznego - krzywe A i C
Ucho ludzkie reaguje w różny sposób na dźwięki o różnych częstotliwościach. Przy niskich poziomach dźwięku najlepiej odbieramy te o częstotliwościach od 2 do 4 kHz. Właściwości ludzkiego ucha sprawiają, że dźwięk o częstotliwości 2 kHz i poziomie ciśnienia akustycznego równym 30 dB wydaje się nam tak samo głośny jak dźwięk o częstotliwości 100 Hz i poziomie około 50 dB. Im większe są poziomy ciśnienia akustycznego dźwięków, tym te różnice wydają się mniejsze. Aby uwzględnić czułość ucha ludzkiego na dźwięki w zależności od ich częstotliwości i poziomu ciśnienia akustycznego wprowadzono krzywe korekcyjne. Najczęściej stosowane - A i C pokazano na Rys. 5.

Rys. 5. Kształt krzywych korekcyjnych A i C.
Poziom ciśnienia akustycznego skorygowany wg charakterystyki częstotliwościowej A nazywany jest poziomem dźwięku A, a poziom ciśnienia akustycznego skorygowany wg charakterystyki częstotliwościowej C - poziomem dźwięku C.
Równoważny poziom dźwięku A.
Często zdarza się, że pracownik w ciągu zmiany roboczej wykonuje pracę na różnych maszynach, które generują hałasy o różnych poziomach ciśnienia akustycznego. W takim przypadku aby określić jakie ryzyko niesie ze sobą dla pracownika oddziałujący na niego w ciągu zmiany hałas należy wyliczyć równoważny poziom dźwięku A. Równoważny poziom dźwięku A jest to taki poziom dźwięku A, który działając przez taki sam czas jak hałas o zmiennym poziomie ciśnienia akustycznego, niesie ze sobą taką samą energię i takie samo ryzyko uszkodzenia słuchu. Na Rys. 6 przedstawiono przykład zmian poziomów dźwięku A hałasu w ciągu 8-godzinnego dnia pracy. Pracownik pierwsze dwie godziny pracował w hałasie o poziomie dźwięku A równym 85 dB, następne dwie godziny w hałasie o poziomie dźwięku A równym 80 dB, następnie godzinę w hałasie o poziomie dźwięku A równym 100 dB i trzy godziny w hałasie o poziomie dźwięku A równym 75 dB. Z punktu widzenia narażenia zawodowego odpowiada to sytuacji, w której pracownik pracowałby osiem godzin w hałasie o poziomie dźwięku A równym 91,4 dB.
Rys. 6. Zmiany poziomu dźwięku A hałasu w trakcie 8-godzinnego dnia pracy i odpowiadający im równoważny poziom dźwięku A.
Dla hałasu nieustalonego, w którym występują wyraźnie rozróżnialne, ustalone poziomy dźwięku A, poziom równoważny dźwięku A można obliczyć z zależności:

gdzie: LAeq,Ti - równoważny poziom dźwięku A uśredniony w przedziale czasu Ti,
n - całkowita liczba wyraźnie rozróżnialnych poziomów, LAeq,Ti

- całkowity czas ekspozycji na hałas.
Jeżeli poziom dźwięku A (LA) hałasu za określony czas Ti nie zmienia się, to równoważny poziom dźwięku A (LAeq,Ti) za ten czas równy jest poziomowi dźwięku A (LA).
Ekspozycja i poziom ekspozycji na hałas
Szkodliwy efekt oddziaływania hałasu na słuch zależy od wielkości energii akustycznej docierającej do uszu pracownika, a zatem od poziomu ciśnienia akustycznego hałasu i czasu jego oddziaływania. Do oceny szkodliwego oddziaływania na organ słuchu zmieniającego się w czasie hałasu wprowadzono wielkość zwaną ekspozycją na hałas oraz odpowiadający jej i częściej stosowany w praktyce poziom ekspozycji na hałas.
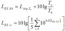
Poziom ekspozycji na hałas odniesiony do 8-godzinnego dobowego wymiaru czasu pracy (LEX,8h) lub tygodnia pracy (LEX,w) definiowany jest jako równoważny poziom dźwięku A, wyznaczony dla czasu ekspozycji na hałas równemu znormalizowanemu czasowi pracy i określony wzorem:

gdzie:
LAeq,Te - równoważny poziom dźwięku A wyznaczony dla czasu ekspozycji Te,
T0 - czas odniesienia = 8h,
i - kolejny dzień roboczy w tygodniu,
n - liczba dni roboczych w tygodniu (może być różna od 5).
Warto zauważyć, że w chwili gdy czas ekspozycji Te równy jest czasowi odniesienia T0 czyli 8-godzinnemu dobowemu czasowi pracy, to poziom ekspozycji na hałas LEX,8h odpowiada równoważnemu poziomowi dźwięku A, LAeq,Te:

Odpowiednikiem poziomu ekspozycji na hałas, odniesionego do dnia lub tygodnia pracy, jest tzw. dzienna lub tygodniowa ekspozycja na hałas EA,Te określana również jako "dawka hałasu" i wyrażana w Pa2•s. Poziom ekspozycji na hałas i dzienną ekspozycję na hałas wiąże następująca zależność:

Maksymalny poziom dźwięku A
Maksymalny poziom dźwięku A (LAmax) jest to maksymalna wartość skuteczna poziomu dźwięku A. Parametr służy do oceny hałasów krótkotrwałych i impulsowych o dużych poziomach.
Szczytowy poziom dźwięku C
Szczytowy poziom dźwięku C, LCpeak, jest to maksymalna wartość chwilowa poziomu dźwięku C. Parametr ten podobnie jak maksymalny poziom dźwięku A, pozwala oceniać hałasy krótkotrwałe i impulsowe o dużych poziomach.
Hałas impulsowy
Jedno lub wiele zdarzeń akustycznych, każde o krótkim czasie trwania, mniejszym niż 1 s, i o wysokim poziomie ciśnienia akustycznego. Zderzenia obiektów wytwarzają hałas impulsowy o charakterze oscylacyjnym. Eksplozje są źródłem hałasu impulsowego o dominującej fali nadciśnienia. Więcej informacji na temat źródeł hałasu impulsowego można znaleźć w udostępnionych w serwisie BEZPIECZNIEJ materiałach informacyjnych.
WARTOŚCI PROGÓW DZIAŁANIA
Wartości progów działania to wartości wielkości charakteryzujących hałas i drgania mechaniczne po przekroczeniu których pracodawca jest zobowiązany podjąć określone w przepisach prawa działania mające na celu ograniczenie ryzyka zawodowego związanego z hałasem lub drganiami. Wartości progów działania dla wielkości charakteryzujących hałas w środowisku pracy zostały podane w załączniku do rozporządzenia Ministra Gospodarki i Pracy z dnia 5 sierpnia 2005 r. w sprawie bezpieczeństwa i higieny pracy przy pracach związanych z narażeniem na hałas lub drgania mechaniczne (Dz. U. 2005, nr 157, poz. 1318). Wartości progów działania dla hałasu podano w tabeli 1.
Tabela 1. Wartości progów działania dla wielkości charakteryzujących hałas.
| Wielkość charakteryzująca hałas w środowisku pracy | Wartość progu działania |
| Poziom ekspozycji na hałas odniesiony do 8-godzinnego dobowego wymiaru czasu pracy (LEX,8h) lub poziom ekspozycji na hałas odniesiony do tygodnia pracy (LEX,w) | 80 dB |
| Szczytowy poziom dźwięku C (LCpeak) | 135 dB |
Wielkości charakteryzujące hałas w środowisku pracy oraz wartości największych dopuszczalnych natężeń (NDN) dla tych wielkości zostały określone w załączniku do rozporządzenia Ministra Pracy i Polityki Społecznej z dnia 12 czerwca 2018 r. w sprawie najwyższych dopuszczalnych stężeń i natężeń czynników szkodliwych dla zdrowia w środowisku pracy (Dz. U. 2018, poz. 1286). Zgodnie z tym rozporządzeniem hałas w środowisku pracy charakteryzowany jest przez:
- poziom ekspozycji odniesiony do 8-godzinnego dobowego wymiaru czasu pracy (LEX,8h) i odpowiadającą mu ekspozycję dzienną (EA,d) lub poziom ekspozycji odniesiony do tygodnia pracy (LEX,w) i odpowiadającą mu ekspozycję tygodniową (EA,w) (wyjątkowo, w przypadku hałasu oddziałującego na organizm człowieka w sposób nierównomierny w poszczególnych dniach tygodnia),
- maksymalny poziom dźwięku A (LAmax),
- szczytowy poziom dźwięku C (LCpeak).
Dopuszczalne ze względu na ochronę słuchu wartości hałasu obowiązują jednocześnie i nie mogą przekraczać wartości podanych w Tabeli 2. Kolorem żółtym zaznaczono wielkości, które są najczęściej wykorzystywane w praktyce.
Tabela 2. Wartości dopuszczalne (NDN) hałasu
| Wielkość charakteryzująca hałas | Wartość dopuszczalna |
| Poziom ekspozycji na hałas odniesiony do 8-godzinnego dobowego wymiaru czasu pracy (LEX,8h) | 85 dB |
| Ekspozycja dzienna (EA,d) | 3,64 *103 Pa2 * s |
| Poziom ekspozycji na hałas odniesiony do tygodnia pracy (LEX,w) | 85dB |
| Ekspozycja tygodniowa (EA,w) | 18,2 * 103 Pa2 * s |
| Maksymalny poziom dźwięku A | 115 dB |
| Szczytowy poziom dźwięku C | 135 dB |
Podane powyżej wartości NDN hałasu stosuje się, jeżeli inne szczegółowe przepisy nie określają wartości niższych. W przepisach szczegółowych określone zostały wartości dopuszczalne hałasu odnoszące się do osób młodocianych oraz kobiet w ciąży
W rozporządzeniu Rady Ministrów z dnia 24 sierpnia 2004 r. w sprawie wykazu prac wzbronionych młodocianym i warunków ich zatrudniania przy niektórych z tych prac (Dz.U. 2004 nr 200 poz. 2047, tekst jednolity Dz.U.2016 poz.1509) podano wartości dopuszczalne hałasu dla młodocianych. Zgodnie z tym rozporządzeniem wzbronione jest zatrudnianie młodocianych na stanowiskach pracy, na których wartości hałasu przekraczają wartości dopuszczalne podane w tabeli 3.
Tabela 3. Wartości dopuszczalne hałasu dla młodocianych
| Wielkość charakteryzująca hałas | Wartość dopuszczalna |
| Poziom ekspozycji na hałas odniesiony do 8-godzinnego dobowego wymiaru czasu pracy (LEX,8h) | 80 dB |
| Maksymalny poziom dźwięku A | 110 dB |
| Szczytowy poziom dźwięku C | 130 dB |
W rozporządzeniu Rady Ministrów z 3 kwietnia 2017 r. w sprawie wykazu prac uciążliwych, niebezpiecznych lub szkodliwych dla zdrowia kobiet w ciąży i kobiet karmiących dziecko piersią (Dz.U. 2017 poz.796) podano wartości dopuszczalne hałasu dla kobiet w ciąży. Zgodnie z tym rozporządzeniem wzbronione jest zatrudnianie kobiet w ciąży w warunkach narażenia na hałas, którego wartości przekraczają wartości dopuszczalne podane w tabeli 4.
Tabela 4. Wartości dopuszczalne hałasu dla kobiet w ciąży
| Wielkość charakteryzująca hałas | Wartość dopuszczalna |
| Poziom ekspozycji na hałas odniesiony do 8-godzinnego dobowego wymiaru czasu pracy (LEX,8h) | 65 dB |
| Maksymalny poziom dźwięku A | 110 dB |
| Szczytowy poziom dźwięku C | 130 dB |
Ocena ryzyka zawodowego związanego z narażeniem na hałas polega przede wszystkim na odniesieniu zmierzonych lub wyznaczonych wartości (Lz) wielkości charakteryzujących hałas na stanowisku pracy (poziom ekspozycji na hałas, LEX,8h, maksymalny poziom dźwięku A, LAmax i szczytowy poziom dźwięku C, LCpeak), do ich wartości dopuszczalnych (NDN), obowiązujących jednocześnie. Należy przy tym uwzględnić czy pracownik, dla którego dokonywana jest ocena należy do grupy szczególnego ryzyka (osoba młodociana lub kobieta w ciąży) Oceniając ryzyko zawodowe można przyjąć zasadę opisaną w normie PN-N-18002 "Systemy zarządzania bezpieczeństwem i higieną pracy. Ogólne wytyczne do oceny ryzyka zawodowego", uwzględniającą krotność (k) NDN:
|
Lz ≤ 0,5 NDN |
ryzyko małe |
|
0,5 NDN < Lz ≤ 1,0 NDN |
ryzyko średnie |
|
Lz > 1,0 NDN |
ryzyko duże |
Lub inaczej posługując się krotnościami wartości NDN (k = Lz/NDN):
|
k ≤ 0,5 |
ryzyko małe |
|
0,5 < k ≤ 1 |
ryzyko średnie |
|
k > 1,0 |
ryzyko duże |
Powyższa zasada obowiązuje dla wszystkich wielkości określających hałas, z wyjątkiem poziomu ekspozycji na hałas odniesionego do 8-godzinnego dnia pracy lub tygodnia pracy, dla których zamiast wartości 0,5 NDN odnosi się do wartości progu działania, wynoszącego 80 dB (jest wartość o 2 dB mniejsza od wartości 0,5 NDN). Szacowanie ryzyka zawodowego odbywa się zatem według zależności:
|
LEX,8h,z (lub LEX,w,z) ≤ 80 dB |
ryzyko małe |
|
80 dB < LEX,8h,z (lub LEX,w,z) ≤ 1,0 NDN |
ryzyko średnie |
|
LEX,8h,z (lub LEX,w,z) > 1,0 NDN |
ryzyko duże |
Ryzyko małe i średnie jest ryzykiem akceptowalnym, ryzyko duże - nieakceptowalnym.
Do wyznaczenia krotności wartości podanych w decybelach pomocne będą Tabele 5 i 6. Tabela 5 pozwala wyznaczyć krotność NDN na podstawie różnicy poziomów dźwięków A lub C zmierzonego (Lz) i dopuszczalnego (Ldop). Tabela 6 pozwala wyznaczyć krotność NDN na podstawie różnicy poziomów ekspozycji na hałas wyznaczonej (Lz) i dopuszczalnej (Ldop).
Tabela 5. Wyznaczanie krotności NDN na podstawie różnicy poziomów dźwięku A lub C.
| Różnica poziomów dźwięków A lub C Lz – Ldop [dB] |
Krotność NDN k |
| -7 | 0,447 |
| -6 | 0,501 |
| -5 | 0,562 |
| -4 | 0,631 |
| -3 | 0,708 |
| -2 | 0,794 |
| -1 | 0,891 |
| 0 | 1 |
| 1 | 1,11 |
| 2 | 1,26 |
| 3 | 1,41 |
| 4 | 1,59 |
| 5 | 1,78 |
| 6 | 2,00 |
| 7 | 2,24 |
Tabela 6. Wyznaczanie krotności NDN na podstawie różnicy poziomów ekspozycji na hałas.
| Różnica poziomów ekspozycji na hałas Lz – Ldop [dB] |
Krotność NDN k |
| -5 | 0,316 |
| -4 | 0,398 |
| -3 | 0,501 |
| -2 | 0,562 |
| -1 | 0,631 |
| -1 | 0,891 |
| 0 | 1,000 |
| 1 | 1,24 |
| 2 | 1,59 |
| 3 | 2,00 |
| 4 | 2,51 |
| 5 | 3,16 |
Przykład:
Jeśli dla maksymalnego poziomu dźwięku A LAmax mamy: wartość zmierzoną Lz = 112 dB i wartość dopuszczalną Ldop = 115 dB to wyliczona na podstawie Tabeli 1 otrzymujemy krotność k = 0,708.
Jeśli dla poziomu ekspozycji na hałas LEX,8h mamy: wartość zmierzoną Lz = 87 dB i wartość dopuszczalną Ldop = 85 dB to na podstawie Tabeli 2 otrzymujemy krotność k = 1,59.
- Wartości dopuszczalne hałasu obowiązują jednocześnie tzn. jeżeli którakolwiek ze zmierzonych wielkości będzie większa od 1,0 NDN ryzyko zawodowe będzie duże. Podstawą wyznaczenia ryzyka jest zatem krotność o największej wartości.
- Wartości zmierzone należy odnieść do właściwych dla danego pracownika wartości dopuszczalnych.
Na Rys. 7, Rys. 8 i Rys. 9 przedstawiono schematycznie sposób przeprowadzania oceny ryzyka zawodowego związanego z narażeniem na hałas dla ogółu pracowników oraz pracowników młodocianych i kobiet w ciąży z uwzględnieniem wartości dopuszczalnych obowiązujących dla tych grup pracowników.





