
Wyznaczanie wartości indukcji i natężenia pola magnetycznego wokół pary przewodów
Program umożliwiający wyznaczanie wartości indukcji magnetycznej B i natężenia pola magnetycznego H wokół pary przewodów prostoliniowych (np. kabla) , w których prąd płynie w przeciwnych kierunkach.
Pole elektromagnetyczne jest złożone z dwóch niezależnych od siebie składowych – pola magnetycznego i pola elektrycznego.
Pole magnetyczne jest proporcjonalne do natężenia prądu elektrycznego płynącego w źródle pola, a pole elektryczne – do napięcia elektrycznego występującego między elementami urządzenia.
W środowisku pracy często spotykane są źródła pola, przy których dominujące jest pole magnetyczne i analiza zagrożeń elektromagnetycznych w miejscu wykonywania pracy może być wykonana na podstawie oceny poziomu pola magnetycznego oddziałującego na pracownika (np. przy urządzeniach do spawania łukowego, rezystancyjnego zgrzewania metali czy energetycznych kablach zasilających). Takiego typu pola elektromagnetyczne są klasyfikowane zgodnie z PN-T-06580:2002 jako pola małej impedancji.
Ponieważ rozkład przestrzenny pola magnetycznego nie jest zaburzany obecnością pracownika na stanowisku pracy, dysponując informacjami o geometrii źródeł pola oraz o natężeniu przepływającego w nim prądu, można oszacować poziom pola magnetycznego w otoczeniu urządzeń i poziom narażenia pracowników.
Szybkie, przybliżone szacowanie poziomu narażenia na pole magnetyczne można dla źródeł pola magnetycznego o prostej geometrii przeprowadzić wykorzystując zależności analityczne.
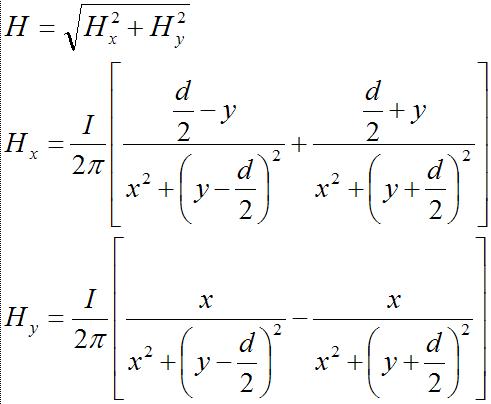
Natężenie pola magnetycznego H w punkcie o współrzędnych (x,y) w płaszczyźnie prostopadłej do pary prostoliniowych przewodów (zgodnie z Rys. 1), odległych od siebie o d, w których płynie w przeciwnych kierunkach prąd o natężeniu I wyraża się zależnością:


Rys. 1. Para prostoliniowych przewodów w układzie współrzędnych.

Rys. 2. Rozkład natężenia pola magnetycznego w płaszczyźnie prostopadłej do pary przewodów prostoliniowych.
Obsługa programu:
W odpowiednich polach należy wpisać wartość natężenia prądu płynącego w przewodzie I, odległość pomiędzy przewodami oraz współrzędne punktu (w płaszczyźnie prostopadłej do osi przewodów) dla którego mają być przeprowadzone obliczenia. Wpisane wartości należy zatwierdzić klawiszem Enter.