
Wyznaczanie wartości natężenia pola magnetycznego w osi przewodnika kołowego
Program umożliwiający wyznaczanie wartości indukcji magnetycznej B i natężenia pola magnetycznego H w osi przewosnika kołowego.
Pole elektromagnetyczne jest złożone z dwóch niezależnych od siebie składowych – pola magnetycznego i pola elektrycznego.
Pole magnetyczne jest proporcjonalne do natężenia prądu elektrycznego płynącego w źródle pola, a pole elektryczne – do napięcia elektrycznego występującego między elementami urządzenia.
W środowisku pracy często spotykane są źródła pola, przy których dominujące jest pole magnetyczne i analiza zagrożeń elektromagnetycznych w miejscu wykonywania pracy może być wykonana na podstawie oceny poziomu pola magnetycznego oddziałującego na pracownika (np. przy urządzeniach do spawania łukowego, rezystancyjnego zgrzewania metali czy energetycznych kablach zasilających). Takiego typu pola elektromagnetyczne są klasyfikowane zgodnie z PN-T-06580:2002 jako pola małej impedancji.
Ponieważ rozkład przestrzenny pola magnetycznego nie jest zaburzany obecnością pracownika na stanowisku pracy, dysponując informacjami o geometrii źródeł pola oraz o natężeniu przepływającego w nim prądu, można oszacować poziom pola magnetycznego w otoczeniu urządzeń i poziom narażenia pracowników.
Szybkie, przybliżone szacowanie poziomu narażenia na pole magnetyczne można dla źródeł pola magnetycznego o prostej geometrii przeprowadzić wykorzystując zależności analityczne.
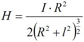
Natężenie pola magnetycznego H w odległości l w osi przewodnika kołowego o średnicy R , w którym płynie prąd o natężeniu I wyraża się zależnością:


Rys. 1. Rozkład natężenia pola magnetycznego w płaszczyźnie prostopadłej do zwoju przewodnika przechodzącej przez jego środek.
Obsługa programu:
W odpowiednich polach należy wpisać wartość natężenia prądu płynącego w przewodzie I, promień zwoju R oraz odległość punktu od środka zwoju w jego osi l. Wpisane wartości należy zatwierdzić klawiszem Enter.